En 1829, le lycéen Galois (1811-1832) fait paraître son premier article dans les Annales de Gergonne. Il est consacré aux équations et plus précisément aux « fractions continues ». C’est l’œuvre d’un lycéen qui a lu et assimilé l’œuvre de ses prédécesseurs : Euler et Lagrange en l’espèce. Animé par cette « fureur des mathématiques » et encouragé par son professeur – Paul-Émile Richard (1795-1849) – le jeune homme contacte Gergonne pour faire publier son texte. Dans cet article, l’apport de Galois est analysé et situé dans son contexte mathématique et éditorial
(1).

Figure 1: L’adresse de l’article de Galois (texte BibNUm, numérisation Numdam)
Le premier article de Galois, publié à l’instigation de son professeur
En 1828-1829, Galois affecté par son premier échec à l’École polytechnique qu’il avait (mal) préparé avec un an d’avance, intègre la classe de mathématiques spéciales tenue par Louis-Paul-Émile Richard (voir encadré). Richard enseigne en spéciales depuis 1827 et y enseignera jusqu’en 1848. À l’époque, les classes de spéciales (parisiennes) comptaient une centaine d’étudiants ! 94 pour Richard en 1837, par exemple
(2) ! Il manque des informations précises sur la façon dont se déroulaient les cours ! Devant une classe si nombreuse, les enseignements étaient essentiellement magistraux et avaient lieu tous les matins entre huit heures et dix heures (sauf le jeudi et le dimanche) en vertu des règlements universitaires. Dans ces conditions, les préparations orales au concours étaient forcément réduites à leur portion congrue. Pour acquérir ces entraînements à l’oral, se sont développées, surtout à Paris, un certain nombre d’institutions privées. Il est par exemple attesté qu’en 1832 (année de la mort de Galois) un tiers des admis à l’École polytechnique est passé par quatre des institutions parisiennes privées les plus connues (Mayer, Barbet, Laville ou Bourdon).

Figure 2:
L’École polytechnique au temps de Galois (image extraite de Gaston Claris, Notre École polytechnique, Paris, Librairies imprimeries réunies, 1895). Créée en 1794 sous le nom d’École centrale des travaux publics, elle est en 1830 le haut lieu de l’enseignement des mathématiques en France. D’esprit libéral bourgeois, les polytechniciens sont nombreux à participer aux événements de 1830. Pour intégrer l’École polytechnique, il faut « avoir entre 16 et 20 ans, avoir été élevés dans des principes religieux, et les professer. Ils doivent justifier de leur dévouement au Roi et d’une bonne conduite […]. Ils doivent avoir eu la petite vérole ou avoir été vaccinés […] La pension annuelle est de 1000 francs […] la durée des études est de 2 ans
(3) ». Les polytechniciens forment un groupe social que Bruno Belhoste estime être à la base de ce qu’il appelle la « technocratie », qui a l’ambition d’appliquer – par les écoles d’ « application » – les sciences théoriques au profit des progrès techniques et matériels.
Il faut voir ces institutions privées non pas comme des concurrentes du secteur public, du moins jusqu’aux années 1850, mais, au contraire, comme des partenaires. Ainsi, en 1837, les trois quarts de la classe de Richard suivent aussi des cours chez Mayer. Galois, semble-t-il, ne faisait partie d’aucune de ces institutions (qui se sont surtout développées par la suite). D’où une mauvaise préparation orale. En 1829, Galois repasse Polytechnique. Nouvel échec ! Pourtant, ce n’est pas faute d’avoir été remarqué. Richard disait de lui : « Cet élève a une supériorité marquée sur tous ses condisciples. », « Cet élève ne travaille qu’aux parties supérieures des mathématiques », etc.
La nécrologie du professeur Richard dans les Nouvelles annales de mathématiques (1849)
« Se tenant constamment au courant des progrès de la science, Richard en enrichissait son cours ; les questions qu’il proposait étaient recherchées des élèves; elles tendaient à élargir l’esprit et non à le rétrécir, comme il arrive trop souvent : aussi il a formé grand nombre d’hommes distingués, dont plusieurs sont parvenus à la célébrité. Galois aurait doté la France d’un Abel, si une mort violente n’avait rompu la trame d’une vie courte et turbulente. M. Le Verrier est universellement connu par ses calculs astronomiques. MM. Les examinateurs Hermite et Serret marchent, encore jeunes, au premier rang parmi les géomètres français. Tous les services publics comptent des fonctionnaires de mérite que Richard a fait entrer à l’Ecole Polytechnique, où la plupart ont amélioré leurs rangs d’admission : critérium d’une instruction préliminaire solide. Animé pour la sainte science d’un zèle pur et désintéressé, zèle excessivement rare, il encourageait toute entreprise propre à propager la vérité mathématique (4).»
Une autre note bibliographique, peut-être écrite par un des condisciples de Galois, Flaugergues, parue en 1848 dans
Le magasin pittoresque précise : « [L]’excellent Mr Richard avait dignement apprécié Galois. Les solutions originales que ce brillant élève donnait aux questions posées dans la classe étaient expliquées aux condisciples avec de justes éloges pour l’inventeur, que M. Richard désignait hautement comme devant être admis hors ligne
(5). »
Richard a sans doute encouragé son élève Galois à publier l’un de ses premiers travaux. Sa « Démonstration d’un théorème sur les fractions continues périodiques » paraît le 1er avril 1829, dans les Annales de mathématiques pures et appliquées dirigées par Joseph Diez Gergonne (1771-1859).
Les Annales de Gergonne et … les fractions continues
Les mathématiques ont bénéficié, dans l’Europe du XIXe siècle, d’une nouvelle forme de diffusion qui changea radicalement la communication et les échanges entre les mathématiciens de tous horizons : les périodiques qui leur ont été spécifiquement dédiés. Le premier journal d’importance édité sur le continent le fut à partir de 1810 par le mathématicien Français Joseph-Diez Gergonne (1771-1859) sous le titre :
Annales de mathématiques pures et appliquées, publiées mensuellement jusqu’en 1832, et que l’on nomme aujourd’hui
Annales de Gergonne. Nous ne reviendrons pas ici sur leur rédacteur, leurs objectifs et leur genèse
(6). Puisque le jeune Galois, alors lycéen, y a présenté en 1829 son article sur les fractions continues, nous allons nous intéresser plutôt à la place des élèves des lycées et collèges dans ce journal, comparée à celle qui leur était accordée dans deux autres périodiques de la même période.
@@@@@@@
Galois est loin d’être un cas isolé et l’apport important sur le sujet qu’il développe nous montre que, sous l’impulsion de son professeur, un élève pouvait contribuer, via un article dans un journal, à l’avancement de la science mathématique. À peu près 20% des contributions sous forme d’articles ou de questions résolues furent en effet le fait de cette population : élèves de collège, de lycées, de l’École polytechnique, de l’École normale (aussi dénommée classe préparatoire à certaines périodes, en particulier du temps de Galois) ou étudiants des facultés.
Jusqu’à la parution du premier numéro des Annales en 1810, seules deux publications périodiques pouvaient offrir une telle opportunité, mais uniquement à une catégorie d’élèves : ceux de l’École polytechnique. Il s’agit du
Journal de l'École polytechnique qui devait avoir une périodicité mensuelle inscrite dans l’arrêté du 24 prairial an III qui en définissait les objectifs
(7) et de la
Correspondance sur l’École polytechnique de Jean Nicolas Pierre Hachette (1769-1834)
(8). Cette
Correspondance était publiée pour combler une lacune déjà dénoncée dès le cahier 4 du
Journal de l'École polytechnique (1796). Il manquait aux anciens élèves un moyen « d’entretenir une correspondance avec la mère École
(9) ». La périodicité voulue pour le
Journal de l'École polytechnique n’a jamais été atteinte, loin s’en faut : de 1795 à 1831, par exemple, seuls vingt cahiers ont paru, soit une moyenne d’environ un tous les deux ans. La place des élèves et anciens élèves de l’École polytechnique y fut négligeable : le journal devint rapidement l’organe de publication de mémoires conséquents de l’élite mathématique (Monge, Lagrange, Poisson, etc.).
Quant à la Correspondance sur l’École Polytechnique, sa publication fut elle aussi très étalée dans le temps : le numéro 1 parut en avril 1804, le numéro 4 en juillet 1805, le numéro 10 en avril 1809. Elle était en grande partie composée de listes de noms (élèves admis, affectations, etc.), de lettres à caractère non nécessairement lié aux sciences enseignées à l’École, d’annonces de textes officiels et règlementaires, de plans de cours, etc. Les articles de mathématiques y occupaient donc une part très relative et étaient souvent des reprises ou des prolongements de cours de l’École. Et, là encore, on constate le caractère fermé de cette publication finalement réservée à la même élite que le Journal de l'École polytechnique. On comprend donc le constat de Gergonne lorsqu’il déplore le fait que « les Sciences exactes, cultivées aujourd'hui si universellement et avec tant de succès, ne comptent pas encore un seul recueil périodique qui leur soit spécialement consacré », ou lorsqu’il ajoute :
On ne saurait, en effet, considérer comme tels, le Journal de l'école Polytechnique, non plus que la Correspondance que rédige M. Hachette: recueils très précieux sans doute, mais qui, outre qu'ils ne paraissaient qu'à des époques peu rapprochées, sont consacrés presque uniquement aux travaux d'un seul établissement
(10).

Figure 3 : Couverture du premier numéro du Journal de l’École polytechnique (il ne prendra ce nom que lors du deuxième volume), Germinal an III (avril 1795) (numérisation BnF)
On comprend aussi alors l’engouement que les Annales suscitèrent chez les professeurs de mathématiques et leurs élèves, comme chez les élèves ou anciens élèves de l’École polytechnique : ils représentent d’ailleurs la grande majorité des auteurs des contributions au journal dans ses premières années de publication. Les enseignants incitaient même leurs élèves à publier dans les Annales de Gergonne (leurs articles portant alors souvent la mention « élève de… ») : c’était pour eux une façon de faire reconnaître la qualité et le niveau de leur enseignement. Rien d’étonnant donc à constater l’excellente tenue de ces articles, et souvent même la nouveauté qui s’y exprime.
@@@@@@@
L’article de Galois s’inscrit tout à fait dans cette « tradition » déjà installée depuis près de vingt ans. L’étude des fractions continues est un sujet qui intéresse une large partie de la communauté des mathématiciens de cette époque. Dans l’introduction de son article, Galois cite les travaux de Lagrange. Ce dernier est alors la référence de tous les travaux d’algèbre comme d’analyse : les Annales de Gergonne regorgent d’articles (en particulier de calcul différentiel) s’inscrivant dans les démarches lagrangiennes et lui rendant systématiquement hommage, comme le fait ici notre jeune mathématicien. L’allusion faite par Galois à « la méthode de Lagrange » renvoie au Traité de la résolution numérique des équations de tous les degrés avec des notes sur plusieurs points de la théorie des équations algébriques : dans ce traité, dont la première édition date de l’An VI, Lagrange synthétisait et mettait à la portée de tous les mathématiciens des travaux qu’il avait entamés près de trente ans auparavant et commencé à diffuser dès 1770 avec sa Nouvelle méthode pour résoudre les équations littérales par le moyen des séries parue dans les Mémoires de l’Académie royale des sciences et belles lettres de Berlin (T. XXIV, 1770).
Avec ceux d’Euler, les travaux de Lagrange ouvrirent de nombreuses perspectives de développement dont les Annales de Gergonne se firent l’écho. Gergonne le premier publia un « état des lieux » et de nouveaux résultats sur la question en 1819 dans un article intitulé : « Recherches sur les fractions continues
(11) ». Sans entrer dans le détail de cet article, il est intéressant de reproduire ici le constat fait par l’auteur en introduction de son essai :

L’un des plus « illustres » géomètres dont parle Gergonne était justement, sans nul doute, Joseph-Louis Lagrange : c’est ainsi qu’il était souvent présenté dans les contributions des auteurs du journal. Suivront d’autres articles sur la question, et plus particulièrement au tome XIV (1823-1824)
(12). Gergonne renvoie à ces articles en note de bas de page à la fin de l’article de Galois. Il mentionne aussi un article paru « dans le présent recueil », mais sans en citer l’auteur. Il s’agit certainement d’un article écrit par lui-même : « Note sur un symptôme d’existence de racines imaginaires, dans les équations algébriques »
(13). Il y mentionne d’ailleurs une lettre du jeune Dupré, « élève distingué de l’École normale, du collège Royal de Louis-Le-Grand ». Un an avant Galois dans cette école (alors « classe préparatoire »), Dupré est un autre exemple de ces élèves encouragés par leurs professeurs à publier dans les Annales. Il avait l’année précédente écrit un article auquel renvoie d’ailleurs Gergonne (et auquel il emprunte pratiquement le titre): « Note sur un symptôme d’existence de racines imaginaires, dans une équation de degré quelconque »
(14). Tel est le contexte mathématique et éditorial dans lequel le jeune Galois est conduit à publier son article sur les fractions continues
(15).
La démonstration par Galois d’un théorème sur les fractions continues périodiques
Pour comprendre l’essence de son article, il convient de faire quelques rappels concernant les fractions continues. Prenons l’équation : x2 + x – 1 = 0.
Elle est équivalente à
x(
x + 1) = 1. D’où

Dans le deuxième membre, si on remplace x par
, il vient :
Rien n’empêche de recommencer. etc.
Ainsi x s’écrit sous forme d’une fraction « qui ne s’arrête pas » – on parle de fraction continue :

Euler, dans son Introduction à l’Analyse infinitésimale parue en traduction française en 1796, décrit ainsi cette notion
(16) :
J’appelle FRACTION CONTINUE une fraction dont le dénominateur est composé d’un nombre entier joint à une fraction, qui a elle-même pour dénominateur un entier & une fraction formée de la même manière que les précédentes, ainsi de suite, soit qu’il y ait un nombre infini de fractions, soit qu’il n’y en ait qu’un nombre fini.
La précédente ne comporte que des 1. Plus généralement, on dit qu’une fraction continue est périodique si des « blocs » réapparaissent. Ici ce sont des blocs de 1. Si ce sont des blocs de quatre termes, la fraction est de la forme :

Par souci de concision, on notera une telle fraction [a,b,c,d]. On s’épargnera d’écrire l’expression d’une fraction périodique « générale » : [a0, a1, a2, . . ., an].
@@@@@@@
Le jeune Galois démontre le résultat suivant :
Si une des racines d’une équation de degré quelconque est une fraction continue immédiatement périodique, cette équation aura nécessairement une autre racine également périodique que l’on obtiendra en divisant l’unité négative par cette même fraction continue périodique, écrite dans un ordre inverse.
Pour démontrer son résultat, il se restreint à une fraction à quatre termes car, précise-t-il,
la marche uniforme du calcul prouve qu’il en serait de même si nous en admettions un plus grand nombre.
Autrement dit, il démontre que si une équation admet pour racine [a,b,c,d], elle admet nécessairement pour autre racine –1/[d,c,b,a]. La démonstration est simple bien que fastidieuse à écrire. Pour simplifier les écritures, nous l’avons faite avec deux termes à la façon de Galois qui, lui, se contente de le faire pour quatre termes.
Démonstration du théorème de Galois sur les fractions continues, avec deux termes
Le résultat de Galois signifie que, si x =
est solution d’une équation,
alors y = -
est aussi solution de l’équation.
En effet, soit x =
; cela signifie que x = 
Ainsi :
En procédant de même avec la seconde fraction :

On retombe sur la même équation donc les deux fractions (continues) sont solutions de la même équation.
Un exemple d’équation traité par Galois
Galois consacre la fin de son article à une application numérique constituée par l’étude de l’équation : 3x2 – 16x + 18 = 0 [éq. (1)]. Il remarque qu’une des racines est comprise entre 3 et 4 (ce qui se déduit immédiatement puisque en x=4 la quantité est positive et qu’en x = 3 elle est négative).
Il applique la méthode d’Euler, fondée sur la partie entière d’une des racines (de manière analogue à l’expression d’un rationnel sous forme de fraction continue, cf. encadré).
Les fractions continues pour l’expression des nombres rationnels (17)
Tout nombre rationnel peut s'écrire en x = a + 1/y, a entier et y>1 ; on réitère alors le procédé, correspondant à la division par l'algorithme d'Euclide. Ainsi, soit à développer x = 314159/100000. On écrira successivement :
100000 = 7 x 14159 + 887
14159 = 15 x 887 + 854
887 = 1 x 854 + 33
854 = 25 x 33 + 29
33 = 1 x 29 + 4
29 = 7 x 4 + 1
L'algorithme d’Euclide se termine, et il en est de même pour tout rationnel. Ainsi :

Galois cherche donc à localiser plus précisément la racine positive en posant
(18) x = 3 + 1/y. Il obtient alors une équation transformée : 3y
2 – 2y – 3 = 0
[éq. (2)]. C’est précisément le type d’équations en ax
2 – bx – a = 0 que Galois a étudié dans les pages précédentes, pour lequel il a démontré qu’elles avaient des racines immédiatement périodiques, l’une nécessairement plus grande que 1 et l’autre comprise
(19) entre -1 et 0 ; par
immédiatement périodique s’entend une fraction continue dont la période commence dès le premier terme.
Galois traite alors l’équation 3y2 – 2y – 3 = 0 en posant, toujours par la même méthode de partie entière de la racine (la racine positive de (2) est plus grande que 1, on l’a vu, mais elle est plus petite que 2) : y = 1 + 1/z. Remplaçant dans l’équation (2) en y, il obtient 2z2 – 4z – 3 = 0. La racine positive de cette équation étant supérieure à 2 mais inférieure à 3, il pose z = 2 + 1/t, et obtient la transformée 3t2 – 4t – 2 = 0. La racine positive de cette équation est supérieure à 1 mais inférieure à 2, il pose t = 1 + 1/u, et obtient la transformée 3u2 – 2u – 3 = 0. L’identité de l’équation en u et de l’équation (2) en y montre que la fraction continue formant y est immédiatement périodique, et vaut en remontant l’expression de y :

En substituant y en bas à droite par l’expression entière que constitue le dernier membre de droite, on obtient la fraction continue immédiatement périodique :

Galois a ainsi pu illustrer avec cet exemple le résultat important qu’il avait énoncé p. 299 :
Lors donc qu’on traitera une équation numérique par la méthode de Lagrange, on sera sûr qu’il n’y a point de racines périodiques à espérer tant qu’on ne rencontrera pas une transformée ayant au moins une racine positive plus grande que l’unité, et une autre comprise entre 0 et -1 ; et si, en effet, la racine que l’on poursuit doit être périodique, ce sera tout au plus à cette transformée que les périodes commenceront.
Ainsi, l’équation (2) en y est un exemple d’équation à partir de laquelle la période de la fraction continue commence. Ce n’est pas le cas de l’équation (1) en x : il faut attendre la première transformée en y, l’équation (2), pour que la période commence. Cette équation (2) illustre une autre propriété que Galois avait énoncée :
Toute équation du second degré de la forme ax² – bx – a = 0 aura ses racines à la fois immédiatement périodiques et symétriques.
Immédiatement périodique, la solution de l’équation
(2) l’est ; mais, étant de la forme [1,2,1,…], elle est aussi symétrique : quand on inverse la période, on retrouve [1,2,1,…]. En vertu du théorème démontré par Galois en début d’article, les racines de l’équation
(2) sont alors [1,2,1,…] et -1/[1,2,1,…] : dans ce cas particulier de symétrie de la fraction continue, l’équation a deux racines
A et
-1/A (20).
Galois donne enfin la forme des solutions de l’équation initiale
(1) – à la différence de celle de
(2) (21), elles ne forment pas des fractions continues
immédiatement périodiques :

Là aussi Galois (ou l’imprimeur ?) se trompe. La valeur de gauche de
x est correcte, mais pas la valeur de droite. L’auteur s’est « mélangé les pinceaux » et a pris x = 3 + y eu lieu de x = 3 + 1/y (il faut dire qu’avec deux valeurs de
y dont l’une est égale à l’opposé de l’inverse de l’autre, ce genre d’erreur peut vite arriver…). L’équation
(1) en
x comprend deux racines, l’une située entre 3 et 4 (valeur à gauche ci-dessus) et l’autre comprise entre 1 et 2 (la valeur à droite ci-dessus, erronée, est comprise entre 2 et 3). Cette erreur échappe aussi à Liouville dans son édition de 1846 (alors qu’il en rectifie d’autres) ; la valeur de droite correcte de
x est
(22) :

Mais laissons à Galois le bénéfice du doute, puisque la fin de son article se développe comme s’il avait écrit la bonne valeur de x ci-dessus. En effet, pour cette valeur, il propose une autre écriture en utilisant l’identité suivante :

En appliquant cette identité à la valeur de x ci-dessus, avec p = 2, on obtient la valeur donnée en toute fin d’article par Galois (valeur qui est bien comprise entre 1 et 2) :

On peut se demander pourquoi Galois fait cette manipulation à la fin : peut-être était-il jugé plus élégant de faire apparaître des fractions continues uniquement constituées de signes positifs ?
@@@@@@@
En tout état de cause, on s’aperçoit ainsi que, pour mieux situer encore le premier article de Galois, il conviendrait d’étudier précisément le corpus constitué de tous les articles relatifs aux fractions continues publiés dans les Annales de Gergonne ou dans d’autres textes. Tous ces travaux paraissent être, sans que nous disposions d’une étude exhaustive, autant de commentaires des travaux de Lagrange sur ce sujet. Le Traité de la résolution des équations numériques de tous les degrés de Lagrange venait d’être réédité dans une nouvelle édition en 1826 chez Bachelier. C’est sans doute cette édition que Galois a consultée. Les ouvrages de Lagrange diffusés à des centaines d’exemplaires étaient des textes de références dont Galois, et bien d’autres, ont été lecteurs et, dans une certaine mesure, continuateurs.

Figure 4 : Traité de la résolution des équations numériques de tous les degrés par J.L. Lagrange. La troisième édition (1826) du Traité de la résolution numérique est conforme à l’édition de 1808. Celle de 1808 est constituée de mémoires de Lagrange publiés dans le Recueil des mémoires de l’Académie de Berlin (1767 & 1768) auxquels ont été adjointes diverses notes.
Une lecture matérielle du texte de Galois
Le texte de Galois est également intéressant à lire matériellement. Livrons nous à une comparaison entre les deux textes de Galois publiés dans les
Annales de Gergonne en 1828-1829 puis dans le
Journal de Liouville, en 1846
(23).
Ce sont deux textes composés chez le même imprimeur ; une quinzaine d’années les sépare. Ce sont les mêmes mots et les mêmes formules. Pourtant ce n’est plus le même objet typographique tant les versions diffèrent.
Confrontation entre deux « mêmes » textes de Galois publiés en 1828-1829 puis en 1846
Voici deux exemples d’impressions différentes dans l’article original de 1828 et dans la réimpression de 1846 (Journal de mathématiques pures et appliquées, I, 11 (1846), p.385-392).


[en haut, texte BibNum, p. 295] [en bas, texte 1846, p.386] On remarquera, en sus de la graphie de fraction continue, la place du point-virgule dans les deux cas.


[en haut, texte BibNum, p. 298] [en bas, texte 1846, p.389] L’équation « en ligne » (x=a+…), difficile à comprendre dans le texte de 1829 (alors que ce n’est même pas une fraction continue), devient une équation « hors ligne » en 1846.
Entre 1829 et 1846, l’art de la représentation des fractions continues – composées d’un enchevêtrement complexe de fractions – a considérablement progressé. En 1846, les typographes savent alors gérer des empilements de fractions écrites avec des symboles de taille différente et en donner un rendu esthétique et harmonieux. En 1846, la presse mathématique est entrée dans une autre phase de son développement. Elle est devenue professionnelle dans le sens où, désormais, des typographes sont formés pour représenter matériellement les spécificités mathématiques (représentation des fractions, des exposants, des indices, des tableaux, des signes de sommation, etc.). C’est aussi ce que permettent d’affirmer les deux « mêmes » texte de Galois sur ce théorème de fractions continues.
C’est avec cette stratégie de confrontation de « mêmes » textes que nous avons pu comparer des objets difficiles à appréhender typographiquement comme le signe d’intégration avec des bornes et des tailles variables suivant la forme de l’intégrande, le signe de sommation ou les différentes expressions géométriques. Nous pensons ainsi avoir montré que Bachelier – l’éditeur des premiers journaux mathématiques français – a, en faisant de la représentation matérielle des mathématiques un de ses axes principaux d’innovation, su prendre une avance considérable sur ses principaux concurrents
(24).
Décembre 2011
V2 avec annexe janvier 2012
Quelques variations sur les fractions continues
Dans une équation de 2
nd degré quelconque, Tx
2 + Ux + V = 0, on sait que le produit des racines vaut V/T
(25). Dans l’équation particulière mentionnée par Galois, ax
2 - bx – a = 0, le produit des racines vaut -1 : donc elles sont inverses et opposées, A et -1/A, comme l’indique Galois via les fractions continues.
@@@@@@@
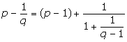
Considérons à présent un cas plus particulier encore que celui-là : l’équation du nombre d’or x2 – x – 1 = 0. On a :

Il est important de noter que la suite des égalités avant les points de suspension est valable pour les deux racines (positive et négative, inverses et opposées entre elles) de l’équation. Lorsqu’on écrit la dernière égalité, on privilégie la racine positive : en effet [1,1,1,…] est un nombre positif. Il y a passage implicite à la limite entre ce qui est une équation (à gauche des points de suspension) et ce qui devient un nombre (à droite des points), représenté par une fraction continue. C’est en ce sens que le maniement des fractions continues infinies mérite une certaine précaution.
Pour trouver l’expression en fraction continue de la racine négative, on s’y prendra autrement. On écrira
(26) :

On retrouve ce résultat plus simplement en utilisant le théorème de Galois (racines inverses et opposées) : A (racine positive) = [1,1,1,…], donc B (racine négative) est telle que
(27) :

@@@@@@@
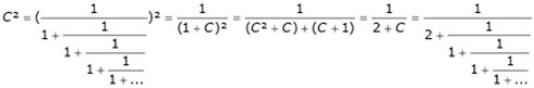
Faisons maintenant un exercice un peu différent, en nous intéressant à C = [0,1,1,1,….] = – B, nombre compris entre 0 et 1. Ce nombre a la particularité, ajouté à son carré, de former 1 : C2 + C = B2 – B = 1 (car B est solution de l’équation x2 – x – 1 = 0). On connaît la représentation en fraction continue de C, mais quelle est celle de C2 ?
Correspondance réels-fractions continues
Pour ceux qui ont du mal avec la représentation d’un nombre en fraction continue, donnons la correspondance (évidente) avec les nombres réels – on revient ainsi dans la réalité (mais n’est-ce pas une représentation comme une autre ?) : A = (1+√5)/2 = 1,618… [nombre d’or] B = (1- √5)/2 = - 0,618… C = (√5 - 1)/2 = 0,618… C² = (3 - √5)/2 = 0,381…

Figure 5 : Pentagones convexes et étoilés, mis en abîme. Le rapport entre la diagonale du pentagone convexe (celle-ci étant aussi le côté du pentagone étoilé) et son côté est égal au nombre d’or.
Cherchons de deux manières la fraction continue représentant C2. Dans un premier cas, supposons que nous ne connaissons pas le développement en fraction continue de C. Cherchons alors une équation dont C2 est solution. C étant solution de l’équation C2 + C – 1 = 0, regroupons puissances impaires d’un côté, puissances paires de l’autre et élevons au carré :

Donc C2 est solution de l’équation x2 – 3x + 1 = 0 ; une des solutions de cette équation se situe entre 2 et 3, on applique la méthode de Galois (cf. ci-dessus) en posant x = 2 + 1/y. L’équation transformée devient y2 – y – 1 = 0 ; elle entre dans la configuration des équations ax2 – bx – a = 0, et a pour racines (il se trouve que c’est l’équation du nombre d’or, cf. ci-dessus) [1,1,1,….] et – [0,1, 1,…]. Or C2 est un nombre compris entre 0 et 1 (puisque C + C2 = 1), donc on choisit pour y la valeur négative à ajouter à 2 :

En utilisant la formule donnée par Galois,
(ici p = 1), on écrit (q étant en bleu) :

On vérifie ce développement en fraction continue par une seconde méthode, en utilisant cette fois-ci le développement de C :

ce qui nous ramène au calcul précédent et donc au même résultat. Ou, plus simplement encore, sans utiliser la formule donnée par Galois (nécessaire pour réduire les signes négatifs) :

@@@@@@@
On arrive ainsi aux curieuses identités suivantes, sachant que C + C2 = 1 :

Janvier 2012

(1) Pour situer le premier texte de Galois et l’insérer dans son œuvre nous renvoyons à Norbert Verdier, Galois, le mathématicien maudit, Ed. Belin, 2011.
(2) Source Bruno Belhoste « La préparation aux grandes écoles scientifiques au XIXe siècle : établissements publics et institutions privées », Histoire de l'éducation, n° 90, mai 2001, 101-130.
(3) Bruno Belhoste, La formation d’une technocratie. L’École polytechnique et ses élèves. De la Révolution au Second Empire, Belin, 2003.
(4) Nouvelles Annales de mathématiques, 1849, 448-452. Nous renvoyons à l’étude récente de Roland Brasseur pour des compléments sur la carrière de Richard : Brasseur, Roland, « Quelques scientifiques ayant enseigné en classe préparatoire aux grandes écoles », (saison 4), Paul - Émile Richard (1795-1849), Bulletin de l’union des professeurs de spéciales. Mathématiques et sciences physiques, 232 (Octobre 2010), 1-8.
(5) Le magasin pittoresque, 16 (1848), 227-228.
(6) Christian Gérini, Les « Annales » de Gergonne : apport scientifique et épistémologique dans l’histoire des mathématiques, Éd. du Septentrion, Villeneuve d’Ascq, 2002 ; aussi « Les Annales de mathématiques pures et appliquées de Gergonne », texte BibNum commenté.
(7) Source Lamy, Loïc « Le journal de l’École Polytechnique de 1795 à 1831, journal savant, journal institutionnel », Sciences et techniques en perspective, 32 (1995), 3-96.
(8) Nommé adjoint de Monge dès 1794 dans le département consacré à la géométrie descriptive de l’École Polytechnique, Hachette eut comme élèves Poisson, François Arago et Fresnel.
(9) Dody, Brigitte, « La correspondance sur l'école polytechnique 1804-1816: un journal scientifique multidisciplinaire au service d'une école », Sciences et techniques en perspective, 28 (1994), 24-178.
(10) Gergonne, texte BibNum cité. Le « Prospectus » dont nous citons ici des extraits fut en fait l’avant-propos du premier numéro dans lequel Gergonne et son collaborateur Thomas Lavernède (professeur comme lui à Nîmes, il participa durant seulement deux ans à la rédaction des Annales) annonçaient leurs intentions, le champ couvert par le journal, et en fixaient en quelque sorte la ligne éditoriale.
(11) Annales de mathématiques pures et appliquées, IX (1818-1819), 261-270.
(12) Citons « Sur le développement en fractions continues des racines des équations numériques du second degré » [Annales de Gergonne, XIV (1823-1824), 324-333] dont l’auteur, anonyme (l’article est signé M***) est certainement Gergonne lui-même. Là encore la méthode de Lagrange est citée. L’article qui suit est intitulé « Sur le calcul des fractions continues périodiques » [Annales de Gergonne, XIV (1823-1824), 337-347] et est signé par le même M**.
(13) Annales de Gergonne, XIX (1828-1829), 124-126.
(14) Annales de Gergonne, XVIII (1827-1828), 68-71]. Indication de Gergonne : « par M. A. Dupré, élève de l’École préparatoire du Collège de Louis-le-Grand »
(15) L’année suivante, Galois publia un autre article (il était alors entré dans la classe préparatoire du Lycée Louis le Grand, c'est-à-dire l’École normale) intitulé : « Notes sur quelques points d’analyse » [Annales de mathématiques pures et appliquées, XXI (1830-1831), 182-184]. Cet article présente une preuve élargie de l’existence de la fonction dérivée (Lagrange toujours), et un intéressant résultat sur le « rayon de courbure des courbes dans l’espace ». Il a été étudié par Massimo Galuzzi : «Galois’ Note on the Approximative Solution of Numerical Equations (1830) », Archives for History of Exact Sciences, 56 (1) (2001), 29-37.
(16) Introduction à l’analyse infinitésimale, « traduite du latin en français, avec des Notes & Éclaircissements », par J.B. Labey, tome premier, chez Barrois, 1796 (page 277).
(17) Cet encadré est extrait du texte BibNum d’Alain Juhel de commentaire d’un texte de Lambert (1761), utilisant largement les fractions continues pour démontrer l’irrationalité de π.
(18) Il y a ici une coquille dans le texte qui indique : x = 3x + 1/y. Liouville rectifie cette coquille dans sa re-publication en 1846.
(19) On vérifiera aisément cette position des racines en prenant les valeurs en -1 (positive), en 0 (négative), en 1 (négative), en l’infini (positive). Rappelons que dans les équations posées par Galois, a et b sont des nombres entiers positifs.
(20) On pourra vérifier par la méthode des discriminants que l’équation 3y² – 2y – 3 = 0 a deux racines, 1/3(1 +√10) et 1/3(1 – √10) , dont l’une est l’opposé de l’inverse de l’autre.
(21) Notons à nouveau une erreur dans l’article original, haut de page 301 : la « valeur positive de y » commence avec un signe négatif ; par ailleurs la succession des nombres ne commence pas correctement.
(22) On a ici appelé yp la racine positive de l’équation (2) en y, et yn sa racine négative, sachant que yn ×yp= - 1.
(23) Pour les circonstances de la publication des Œuvres de Galois dans le Journal de Liouville, nous renvoyons aux travaux de Caroline Ehrhardt : « La naissance posthume d’Évariste Galois », Revue de synthèse, 131, 6e série, 4 (2010), p. 543-568 ; aussi Évariste Galois. La fabrication d’une icône mathématique, Les Éditions de l’EHESS, 2011, p. 185-193.
(24) « Vendre et éditer des mathématiques avec la maison Bachelier (1812-1864) », Revue d’histoire des mathématiques [article soumis].
(25) Pour s’en convaincre, on développe T(x-x1)(x-x2), où x1 et x2 sont les racines. Ce sont les relations classiques entre les racines et les coefficients de l’équation, qu’exploitera Galois dans sa théorie des équations.
(26) Le 0 en début de crochet est important : il rappelle qu’il n’y a pas de terme avant la fraction (à la différence de la racine positive).
(27) On a fait figurer l’expression en fraction continue de A en bleu, pour plus de clarté.