LES RAISONS D’UN CHOIX
Publier sur Bibnum le texte d’Argand de 1806, Essai sur une manière de représenter les quantités imaginaires dans les constructions géométriques, comme texte fondateur et représentatif d’une avancée majeure des mathématiques, peut s’avérer risqué, et cela pour deux raisons.
Tout d’abord, il est difficile de donner des indications biographiques sûres sur Argand lui-même. Nous pourrions reprendre ce qui a souvent été écrit : Jean-Robert Argand, mathématicien Suisse né à Genève en 1768, et installé à Paris comme libraire jusqu’à sa mort en 1822. Mais, dès la réédition de cet Essai en 1874 chez Gauthier-Villars, J. Houël précise dans sa préface :

Ces données sont aujourd’hui encore controversées. La seule certitude que l’on puisse avoir est précisée par Houël dans le même texte : Argand demeurait en 1813 à Paris, au n° 12, rue de Gentilly comme l’indique la note manuscrite qu’il avait jointe à son envoi à Joseph-Diez Gergonne d’un exemplaire de son Essai.

Figure 1 : Dédicace d’Argand à Gergonne, en dernière page de son essai de 1806.
Par ailleurs, un travail effectué antérieurement à celui d’Argand, mais découvert beaucoup plus tard, est considéré par de nombreux historiens des mathématiques comme étant le véritable texte fondateur de la représentation géométrique des imaginaires. Il s’agit du texte du Danois Caspar Wessel (1745 – 1818) publié en 1799 dans les mémoires de l’Académie Royale des Sciences et des Lettres du Danemark. Cet Essai sur la représentation analytique de la direction ne sera véritablement connu qu’à la fin du XIXème siècle, dans une traduction française parue au Danemark en 1897. La biographie de Wessel est quant à elle parfaitement connue.
Nous prenons tout de même le risque de considérer l’Essai d’Argand comme fondateur de la représentation géométrique des nombres complexes. Il y a plusieurs raisons à cela.
Il est souvent difficile de remonter aux véritables sources d’un concept, tant les voies ayant conduit à son émergence peuvent être multiples. On considère alors comme texte fondateur du concept celui qui l’a imposé dans le champ de connaissances dont il relève, et même au-delà, et en a posé toutes les caractéristiques et les implications. Ce ne fut pas le cas pour l’Essai de Wessel, ce le fut pour celui d’Argand.
L’
Essai d’Argand a en outre généré, lors de sa publication simplifiée et argumentée dans les
Annales de mathématiques pures et appliquées de Gergonne en 1813
(1), de multiples réactions et des avancées fondées sur le nouveau cadre qu’il offrait aux mathématiques : il fut donc un nouveau point de départ dans cette science.
Argand lui-même aperçut les perspectives qu’ouvrait sa représentation géométrique des imaginaires puisqu’il proposa l’année suivante, toujours dans les
Annales de Gergonne, une démonstration du théorème fondamental de l’algèbre basée sur les « lignes dirigées » de son modèle
(2).
D’autres après lui tentèrent des généralisations à la troisième dimension annonciatrices de la théorie des quaternions, par exemple J.F. Français
(3) dans sa lettre sur la théorie des imaginaires, avec notes de Gergonne, en 1815 (
Annales de Gergonne, T. IV, pp. 222 – 227).
Le travail d’Argand (son Essai de 1806, ses articles et ceux de J.F. Français sept ans plus tard dans les Annales de Gergonne), marquèrent aussi les mathématiques par les réponses qu’ils apportaient – et les débats qu’ils engendraient – sur la question philosophique plus large qui entourait l’usage de ces imaginaires depuis la fin du XVIème siècle, à savoir leur légitimité dans une vision des mathématiques dominée par le réalisme géométrique hérité des Anciens. Argand fit ainsi entrer ces « nombres impossibles » dans le cadre de ce réalisme et provoqua un débat sur cette nécessité, ce qui n’est pas d’un moindre intérêt dans les progrès de sa science : les défenseurs d’un abandon de ce dogme réaliste au profit de la reconnaissance de l’efficience de la seule algèbre, par la voix de F.- J. Servois, tentèrent de nier l’intérêt du travail d’Argand, et les échanges sur ces deux visions des mathématiques apportent un éclairage fondamental aux historiens des mathématiques du début du XIXème siècle. On peut donc lire avec un vif intérêt les deux textes de Servois et d’Argand (et les notes de Gergonne les accompagnant) dans les Annales de mathématiques pures et appliquées:
- Lettre de M. Servois sur la théorie des imaginaires, T.IV pp.228-235
- Réflexions sur la nouvelle théorie des imaginaires, Argand, T. V, pp. 197 – 209.
Enfin, contrairement à celui de Wessel, le travail d’Argand fournit véritablement des démonstrations basées sur la figure géométrique : son article est agrémenté de nombreux dessins, et répond de ce fait avec plus d’évidence au concept de « représentation géométrique » des nombres complexes.
Nous emprunterons à H. Valentiner, préfacier de l’édition de 1897 du travail de Wessel, les derniers arguments qui ont conduit notre choix :

L’ESSAI D’ARGAND
Les pages présentées sur le site BibNum ne sont pas la totalité de l’Essai d’Argand. Elles représentent la partie qui énonce les avancées mathématiques dues à ce concept de représentation géométrique des imaginaires. Le reste de son texte est une suite de démonstrations des propriétés déjà connues sur les lignes trigonométriques – intéressantes elles aussi du fait de l’utilisation de son nouvel outil.
Nous l’avons dit, Argand reprend en 1813 les idées développées dans son Essai de 1806. Celui-ci avait en effet été porté à la connaissance de J.F. Français, alors professeur à l'école impériale de l'artillerie et du génie de Metz, qui en livra sa version dans un article intitulé : « Nouveaux principes de géométrique de position et interprétation géométrique des symboles imaginaires », Annales de Gergonne, T.IV, septembre 1813, pp. 61-72. Cela provoqua la réaction d’Argand (« Essai sur une manière de représenter les quantités imaginaires, dans les constructions géométriques », Annales de Gergonne, T.IV, novembre 1813, pp. 133-147), puis une reconnaissance par Français de la paternité d’Argand sur ces concepts. De fait, les deux hommes continueront à échanger leurs avancées en la matière durant les années 1813 – 1815.
L’étude de l’Essai d’Argand de 1806, reproduit en partie sur BibNum, ne peut se faire sans le mettre en parallèle avec la reprise qu’en a faite son auteur en 1813. Les lignes qui suivent sont donc une synthèse des études comparatives de ces deux textes.
@@@@@@@
Argand part de l'idée généralement admise qu'un rapport de deux quantités "d'un genre susceptible de fournir des valeurs négatives" se compose de deux notions:
1°) celle du rapport numérique entre les valeurs absolues ;
2°) celle du rapport des directions (aussi appelées sens), faites soit d'identité, soit d'opposition. Finalement, le rapport
énonce à la fois le fait que
et l'idée que "la direction de la quantité +a est, relativement à la direction de la quantité -b, ce que la direction de −ma est relativement à la direction de +mb", ce qui s'exprime plus simplement par:
(A).
Il a alors, pour rendre compte des ces deux concepts, l'idée de définir parfaitement, sans employer l'expression aujourd'hui utilisée, la
mesure algébrique, en introduisant d'ailleurs la notation que nous connaissons,

. Ainsi, la ligne , représentant un nombre "
considéré dans sa grandeur absolue", définit deux lignes dirigées opposées,

et

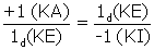
, de même position. Dans la figure ci-dessous, par exemple, si KA correspond à +1, la proposition (A) ci-dessus se traduit par: "KA est à KI ce que KI est à KA".

Cette notion de ligne dirigée

est ainsi précisée par Argand (§ 6 page 11) :
On les appellera lignes en direction ou, plus simplement, lignes dirigées. Elles seront ainsi distinguées des lignes absolues, dans lesquelles on ne considères que la longueur, sans aucun égard à la direction.
L'idée d’Argand est alors de généraliser aux nombres imaginaires ces concepts de grandeur absolue et de direction, qui mèneront naturellement à ce que nous nommons module et argument d'un nombre complexe.
Argand considère la proportion:

et constate qu'aucun nombre positif ou négatif (il parle bien sûr de nombres réels) ne peut convenir : si la quantité cherchée existe, elle est donc
imaginaire.
Argand a alors l'idée de noter 1d l'unité prise dans la direction d, et cherche de la même manière une direction d telle que la direction positive soit à d ce que celle-ci est à la direction négative, ce qui se note, en "généralisant" (A):
(B)
La proportion (B) contient en fait deux identifications de significations et de portées à ses yeux très différentes: une proportion de nature numérique

, et une "
proportion ou similitude de rapports de direction, analogue à celle de la proportion (A)". Et Argand d'ajouter: "
et, puisqu'on admet la vérité de cette dernière, on ne saurait se refuser à reconnaître également la légitimité de la proportion (B)". Généralisation hasardeuse, mais qui pourtant se révèlera heureuse et permettra d'effectuer rapidement un grand pas dans la représentation des nombres complexes.
Le principe fondamental de sa théorie repose sur l'idée de proportions entre lignes dirigées:

Dans la figure 4, la direction de KA est à celle de KE comme celle-ci est à la direction de KI. Ce qu'il écrit

, et qu'il regarde de nouveau comme une double proportion, proportion numérique et similitude de rapports de direction (texte BibNum §4 p.7) :
En effet, la direction de

est, à l’égard de la direction de

, ce que cette dernière est à l’égard de la direction de . De plus, on voit que cette même condition est aussi bien remplie par que par , ces deux dernières quantités étant entre elles comme + 1 et − 1, ainsi que cela doit être. Elles sont donc ce qu on exprime ordinairement par +

et −

.
KE devient ainsi la direction des imaginaires purs (celle de i), KA et KI étant celles sur lesquelles il a fondé par analogie sa construction, des nombres réels positifs et négatifs
Et de façon analogue à ce rapport défini en figure 4, dans la figure 3 on a :

en direction, abstraction faite des grandeurs absolues, car les angles sont égaux. L’analogie qu’il utilise le conduit donc à considérer les lignes à la fois dans leur direction et dans leur position : le plan complexe est né.
(texte BibNum § 7 p.12) (…) on voit que toute ligne parallèle à la direction primitive est exprimée par un nombre réel, que celles qui lui sont perpendiculaires sont exprimées par des nombres imaginaires ou de la forme ±a√-1 , et, enfin, que celles qui sont tracées dans une direction autre que les deux précédentes appartiennent à la forme ±a√-1 ± b√-1, qui se compose d’une partie réelle et d’une partie imaginaire.
@@@@@@@
On voit maintenant le résultat vers lequel tend Argand : sous la fallacieuse appellation de proportion, il a construit un être hybride, empruntant à la fois à l'algèbre et à la géométrie, qui lui permet de conserver l'idée de proportion et d'égalité sous-jacente, mais qui élude le problème de relation d'ordre : là où une proportion entre nombres réels permettait de les comparer, elle ne permet plus de le faire sur les imaginaires, il y un défaut de permanence qui n'est pas relevé. Tant que l’on s’en tenait en effet aux règles opératoires sur les nombres complexes, et cela depuis le XVIème siècle, leur ensemble incluait celui des nombres réels et répondait en outre au principe de permanence, c'est-à-dire que les règles opératoires valables sur les nombres réels le restaient (d’où le nom de permanence) dans l’ensemble des nombres imaginaires : commutativité, distributivité, rôle du zéro, etc. Mais là où la représentation géométrique des nombres réels sur une droite permettait de rendre compte d’une relation d’ordre, d’un « classement » de ces nombres, il n’en va pas de même pour les lignes dirigées et les imaginaires (qui ne sont pas « ordonnés »), et il y a donc perte de la permanence du lien entre la figure et le classement ordonné.
Perdant ceci, Argand a gagné cela : les complexes vont en apparence avoir une légitimité géométrique. Il poursuit son travail en introduisant des notations aujourd'hui employées dans des sens parfois plus restrictifs.
La
direction de AB sera notée

ou

, suivant que la
ligne dirigée l'est de A vers B ou de B vers A, ces deux lignes dirigées ayant en commun la
position qui désigne
collectivement deux directions opposées : il s'agit là d'une classification des lignes dirigées par leurs positions, idée portant en germe la notion de classes d'équivalence ; c'est une autre formulation de l’idée qui s'exprimait ci-dessus dans l'égalité des rapports en direction de KA, KB, K'A', K'B'.
En fait, une troisième grandeur caractéristique est nommée sans être soulignée à sa juste valeur: il s'agit de la
grandeur absolue. Elle était à l'époque considérée comme naturelle, puisque n'étaient pas encore posées les questions relatives à la définition du concept de distance. Mais, hormis cette remarque, on peut constater qu'Argand donnait là quasiment la définition première du concept de vecteur
(4): nous allons le confirmer par l'étude approfondie des modes opératoires sur ses
lignes dirigées, définis comme illustrations des opérations sur les
imaginaires.
@@@@@@@
Argand définit en effet la somme de deux lignes dirigées, comme nous définissons la somme de deux vecteurs. Et là encore, l'analogie a un rôle prépondérant dans l'extension d'un concept: partant de l'illustration géométrique de l'addition des nombres relatifs, il élargit celle-ci, "en raisonnant par analogie ", en proposant d'ajouter les lignes dirigées sur le même principe:

Les notations par segments fléchés ne sont pas d'Argand, mais on voit bien (fig.6) qu'il s'agit effectivement de l'addition de deux vecteurs d'un plan vectoriel, comme il s'agissait pour les nombres relatifs (fig.5) de la relation dite de Chasles sur les mesures algébriques :

Mais Argand explore encore davantage ce qui deviendra le « champ vectoriel ». Il définit parfaitement la notion de décomposition d'un vecteur sur une base et le lien qui existe entre un repère orthonormé et le couple (1, √-1 ), et va même plus loin :
On peut décomposer une ligne en direction donnée

en deux parties appartenant à des positions données KA et KB. Il suffit, pour cela, de tirer, sur KB, KA, les lignes PM, PN, parallèles à KA, KB; et on aura:

; mais comme on a

et

, et comme d'ailleurs il n'y a que ces deux manières d'opérer la décomposition proposée, il faut en conclure, en général, que si, ayant

, A , A' ont la même direction a, et B, B' ont la même direction b, a et b n'appartenant pas à la même position, on doit avoir aussi:

. Cette partition a fréquemment lieu, lorsque l'une des positions est celle de

et l'autre la position perpendiculaire; ce qui revient à la séparation du réel et de l'imaginaire." (Annales..., T.IV, p.138, reprise par Argand du texte analogue, BibNum §10 p.19).

Argand nous énonce finalement ici que:
Etant donnés deux vecteurs
et
[il dit lignes dirigées ; par ailleurs nous les écririons aujourd’hui surmontés de flèches] n'ayant pas la même direction [il dit position], alors tout vecteur
peut se décomposer de deux façons comme somme de deux vecteurs de mêmes directions que
et
. Si l'on tient compte de l'ordre de la décomposition, alors il y a unicité.
Il s'agit bien là de la décomposition d'un vecteur sur une base : s'il ne reprend pas ce terme dans son article des Annales de Gergonne, il l'avait utilisé dans son Essai de 1806.
La notion de vecteur était bien sûr contenue dans de nombreux travaux plus anciens : la règle du parallélogramme intervenait déjà depuis longtemps dans l'étude de la composition de certains mouvements, comme dans la composition des forces appliquées à un même point, chez Newton par exemple.
Mais Argand passe à un autre niveau d'abstraction: ses
lignes dirigées sont des entités abstraites. Elles ne sont reliées aux représentants de la figure que par la relation d'équipollence sous-jacente : la position n'est pas la description d'une qualité perceptible sur la figure, c'est bien un concept permettant d'englober une infinie diversité en un même tout. Et les propriétés de décomposition et d'unicité vues ci-dessus ne sont valables, et il le sait bien, que sur l'entité abstraite, et non sur ses représentations planes : un vecteur est unique en tant que classe d’équipollence, mais ses représentations dans le plan sont en nombre infini. Cette relation d'équipollence, sous-entendue et utilisée par Argand (et Wessel avant lui), sera définie et développée, indépendamment des résultats de leurs travaux, par l'italien G. Bellavitis
(5) à partir de 1832. C'est lui qui donna son nom à ce concept mathématique, et l'approfondit dans de nombreuses publications, en particulier dans les
Annali delle scienze del regno Lombardo - Veneto de 1835 à 1838
(6).
La notion d’équipollence de nos jours
La notion d’équipollence n’a pas changé depuis que Bellavitis (cf. plus haut) l’a définie au milieu du XIXème siècle. L’équipollence a par la suite été étudiée et regardée comme une relation d’équivalence et les vecteurs ont pu être définis plus précisément (voir l’encadré ci-dessous). La notion d’espace vectoriel est apparue beaucoup plus tard : on peut donc aujourd’hui se passer de l’équipollence en définissant un vecteur comme étant simplement un élément d’un espace vectoriel. Mais c’est une autre histoire...

Deux bipoints (ou couples de points) (A,B) et (C,D) sont dits équipollents si [AD] et [BC] ont même milieu, c'est dire si le quadrilatère ABDC (dans cet ordre) est un parallélogramme (pris au sens large, puisque la définition vaut aussi pour des points alignés, donc pour un quadrilatère « aplati »).
L’ensemble de tous les bipoints équipollents à (A,B) définissent alors un même et nouvel objet mathématique (en fait, une classe d’équivalence de cette relation d’équipollence) : le vecteur
. C’est là une définition de ce que l’on nomme un vecteur, qui est donc un ensemble infini de bipoints équipollents entre eux, et dont on ne peut montrer (« dessiner ») que des « représentants ».
On doit à Bellavitis cette notion, même il ne parlait pas encore de vecteurs mais de « lignes équipollentes » qui ne sont pas sans évoquer les « lignes dirigées » d’Argand.
@@@@@@@
Ayant ainsi défini l'addition des lignes dirigées, qui va lui permettre de représenter parfaitement l'addition des nombres imaginaires, il s'intéresse aussi à une façon de représenter leur produit: il décrit donc une manière, conforme aux règles arithmétiques, de multiplier les lignes dirigées. Dans son
Essai de 1806, se plaçant d'abord sur le cercle unité, il définit la construction du "produit" des lignes dirigées

de la façon suivante:

Soit pris angle CKD = angle AKB.
D'après ce qui a été dit plus haut...on aura
(7):

d'où:

, mais

, donc:

Ainsi, pour construire le produit de deux rayons dirigés [c’est à dire KB et KC], il faut prendre, à partir de l'origine des arcs, la somme des deux arcs qui appartiennent à ces rayons, et l'extrémité de l'arc-somme déterminera la position du rayon-produit [c’est à dire KD] : c'est encore une multiplication logarithmique.
Puisqu'il s'agit ici de représentations de nombres complexes de module 1, il énonce géométriquement le fait que l'argument du produit de deux de ces nombres est égal à la somme de leurs arguments ; il le note lui-même par l'expression "multiplication logarithmique".
Module et argument d’un nombre complexe
Pour un nombre complexe z = a + ib, en notations modernes :
- le module est défini par
, et correspond à la longueur du vecteur correspondant
- l’argument est défini par
, et correspond à l’angle sous-tendant le vecteur correspondant par rapport à l’axe des abcisses.
Si l’on reprend en notations complexes modernes le paragraphe d’Argand ci-dessus (fig.8), on écrit :

En multipliant, on a :


Suivant la définition ci-dessus, l’argument de KB (angle formé par le rayon KB avec l’axe des abscisses KA, fig. 8) est ß, l’argument de KC est γ ; quant à l’argument de KD, d’après la dernière formule, il est égal à ß + γ. L’argument du produit de KB et KC est égal à la somme des arguments de KB et de KC. C’est ce qu’Argand appelle (§11 p.21) une « multiplication logarithmique », soit la transformation d’un produit en une somme.
Parmi les nombreuses applications de sa méthode qu’il donne en fin de texte, Argand démontre, avec ses notations (§13 p.26) :
cos na
sin na = (cos a
sina)n
Identité bien connue en notations modernes sous le nom de formule de Moivre (1707):
(cos na + i sin na) = (cos a + i sin a)n
@@@@@@@
Argand termine sa construction par les lignes dirigées qui
ne sont pas des unités (c'est à dire par les nombres complexes de modules quelconques) en affirmant que si l'on veut effectuer le produit de

, il suffit de construire la ligne dirigée

: il exprime cette fois géométriquement le fait que le module du produit de deux nombres complexes est égal au produit de leurs modules.
Nous n'entrerons pas davantage dans le détail des conséquences de ces deux définitions, qu'Argand développe aussi bien dans ses deux essais majeurs: signalons simplement qu'il énoncera
parfaitement un grand nombre de propriétés des nombres complexes et des lignes trigonométriques, aussi bien dans leur expression algébrique, que dans leur représentation géométrique. Les conséquences sont immenses: les formules de trigonométrie deviennent des cas particuliers de la formule de Moivre sous-jacente à ces écrits, des sommes de séries sont trouvées, et Argand donne même dans les
Annales de Gergonne (8) une démonstration du théorème de d'Alembert. Cette dernière est loin d'être satisfaisante, puisqu'elle construit une suite de nombres complexes sensée décroître vers 0, cette convergence n'étant pas prouvée.
LA RÈGLE DES LIGNES
On l’a vu, Argand formalise de façon moderne la notion de vecteur, et finalement met en place la correspondance entre l’espace vectoriel associé à un plan et l’ensemble des nombres imaginaires. Il était même allé plus loin dans son Essai de 1806 : proposant des symboles spécifiquement dédiés aux imaginaires, il leur adjoint les règles opératoires qui assurent la permanence des opérations jusqu’alors admises, et s’appuie même sur la congruence, comme le montre l’extrait ci-après (texte BibNum p.15-16) :
" ... mais, au fond,

, dans a

, n'est pas plus un facteur que +1 dans +a ou −1 dans −a. Or on n'écrit pas +1.a, −1.a, et le signe qui précède a indique lui-même quelle espèce d'unité indique ce nombre. On peut donc employer un moyen semblable relativement aux quantités imaginaires, en écrivant, par exemple,

a et

a au lieu de +a

et −a

, les signes

et

étant positifs et négatifs réciproques.
Pour la multiplication de ces signes, on observera que, multipliés par eux-mêmes, ils donnent −, et que, par conséquent, multipliés l'un par l'autre, ils donnent +. On peut, d'ailleurs, établir une règle unique pour tous les signes, qui s'étend à un nombre quelconque de facteurs.
Qu'on affecte la valeur 2 à chacun des traits droits, soit perpendiculaires, soit horizontaux, qui entrent dans les signes à multiplier, et la valeur 1 à chacun des traits courbes : on aura, pour les quatre signes, les valeurs suivantes :
= 1
− = 2
= 3
+ = 4.
Cela posé, on prendra la somme de la valeur de tous les facteurs, et l'on retranchera autant de fois 4 qu'il sera nécessaire pour que le reste soit l'un des nombres 1, 2, 3, 4 ; ce reste sera la valeur du signe du produit.
(…) Ces nouveaux signes abrègeraient la notation (*) et rendraient peut-être plus commode le calcul des quantités imaginaires, dans lesquelles il est quelquefois facile de commettre des erreurs relativement aux signes (**). On en fera usage dans ce qui va suivre, sans prétendre pour cela qu'ils méritent d'être adoptés. On ne se dissimule point qu'il y a un inconvénient inhérent à toutes les innovations, même à celles qui sont fondées en raison ; mais on ne perfectionnerait rien, si on les rejetait par cela seul qu'elles blessent les habitudes, et il est au moins permis d'essayer.
(*) La quantité m+n
s'exprimant par m
n , ou par m
n, l'un des signes
ou
tiendrait lieu des quatre signes +,
, -, 1.
(**) Qu'il s'agisse, par exemple, de multiplier -m
par +n
. Le produit des deux coefficients est -mn; celui des radicaux est -c
; enfin le produit final est +mnc
. Par les nouveaux signes, les deux quantités à multiplier s'exprimeraient par
m
,
n
, ou par
m
,
n
et, au moyen de la règle des lignes (9), on obtiendrait immédiatement +mnc
. Cet avantage, si toutefois c'en est un, serait nul pour un calculateur exercé, qui lit un produit à la simple inspection des facteurs; mais tout le monde n'a pas cette faculté.
@@@@@@@
Bel effort d’abstraction et de généralisation, pour un mathématicien qui désirait pourtant ancrer davantage les imaginaires dans une réalité géométrique !
Mais la question demeure posée : même si cette « représentation géométrique » des nombres complexes s’est ensuite imposée dans la première moitié du XIXème siècle (grâce à Argand, peut-être, mais aussi Gauss, puis Cauchy), le pari de cet ancrage était-il relevé avec succès ? Nous emprunterons à Elie Cartan cette conclusion
(10) :
« Dans la théorie qui nous occupe [celle d'Argand] tous les nombres, réels ou imaginaires, sont définis par des vecteurs , situés dans un plan donné, ayant dans ce plan une origine commune O et soumis à des opérations (addition, soustraction, multiplication, division) qu'on définit au moyen de conventions convenables. On définit ces conventions de manière:
1°) que les opérations définies jouissent des mêmes propriétés que les opérations de l'algèbre des nombres réels [c'est le principe de permanence
(11) appliqué aux lois du calcul algébrique];
2°) que dans le cas particulier où les vecteurs soumis à des opérations sont portés par une droite orientée particulière passant par O (et qu'on nommera l'axe réel), ces opérations soient identiques à celles qui ont été définies dans la théorie métrique des nombres réels. [c’est le principe de permanence appliqué aux lois du calcul vectoriel] »
Finalement, Argand reproduit par analogie, dans le champ géométrique, et toujours dans le respect du principe de permanence rappelé par Cartan, le procédé d'extension qui avait présidé à la mise en place, dans le champ algébrique, des imaginaires et des opérations les concernant. Il déplace le problème : il y a certes une figure qui « traduit » les propriétés des imaginaires, mais ceux-ci n’ont toujours pas de « réalité », en ce sens qu’ils ne sont toujours pas en relation avec une projection même imparfaite dans le réel via une figure ou un objet même approximatifs . Il montre l'adéquation de sa construction dans le plan avec celle existant déjà sur la droite, et se contente, comme ses contemporains le feront à sa suite, de ce "parallèle". Les imaginaires garderont leur part de mystère, fort poétiquement formulée par C.F. Gauss (1777-1855) : « Le vrai sens de √-1 se révèle vivement devant mon âme, mais il sera très difficile de l'exprimer en mots, qui ne peuvent donner qu'une image suspendue dans l'air. » (Lettre à Peter Hansen, 1825).
La réelle nouveauté du travail d’Argand apparaît pour nous a posteriori dans les concepts sous-jacents qu'il utilise, comme nous l'avons vu ci-dessus (vecteurs, isomorphismes « naturels », congruences, etc.), et qui vont unifier peu après les deux champs parallèles entre lesquels il vient de jeter un pont. Pour reprendre à nouveau Cartan :
« On [Argand] ne se propose pas non plus simplement d'interpréter les solutions imaginaires de certaines équations d'origine géométrique comme ont essayé de le faire J. Wallis , H. Kühn, et A. Q. Buée : une telle interprétation présuppose en effet, au moins en théorie, la légitimité du calcul avec les symboles imaginaires. La théorie géométrique des nombres complexes est une généralisation naturelle de la théorie métrique des nombres irrationnels où chaque nombre réel est défini par un segment d'une droite orientée donnée. »
(13)
Argand, prudent et s’attendant à des réactions hostiles (comme celle de Servois), répond en ces termes :
« La théorie dont nous venons de donner un aperçu, peut être considérée sous un point de vue propre à écarter ce qu'elle peut présenter d'obscur, et qui semble en être le but principal, savoir: d'établir des notions nouvelles sur les quantités imaginaires. En effet, mettant de côté la question si ces notions sont vraies ou fausses, on peut se borner à regarder cette théorie comme un moyen de recherches, n'adopter les lignes en direction que comme
signes des quantités réelles ou imaginaires, et ne voir, dans l'usage que nous en avons fait, que
le simple emploi d'une notation particulière. Il suffit, pour cela, de commencer par démontrer, au moyen des premiers théorèmes de la trigonométrie, les règles de multiplication et d'addition données plus haut; les applications iront de suite, et il ne restera plus à examiner que la question de didactique. Si l'emploi de cette notation peut être avantageux ? S’il peut ouvrir des chemins plus courts et plus faciles, pour démontrer certaines vérités ? c'est ce que le fait seul peut décider. »
(14)
Et c’est ce que, depuis lors, l’histoire des mathématiques, leurs progrès, leurs applications et leur enseignement ont largement démontré.

(1) Il s’agit donc là d’une seconde publication modifiée en 1813, par rapport au texte BibNum de 1806.
(2) Réflexions sur la nouvelle théorie des imaginaires, Annales de Gergonne, t. V, 1814, pp. 197 – 209. Rappelons que le théorème fondamental de l’algèbre (dit aussi « de d’Alembert », ou « de Gauss ») stipule l’existence de n racines complexes (distinctes ou non) pour tout polynôme de degré égal à n, et donc la possibilité de le factoriser en produit de polynômes de degré 1.
(3) Jacques Frédéric Français (1775-1833), militaire et mathématicien comme son frère François Français (1768-1810), fut élève de l’école Polytechnique (1797). A l’époque qui nous intéresse ici (1813), il était commandant et professeur d’art militaire à l’école du génie de Metz.
(4) Sa
direction est ce que nous nommons aujourd'hui le sens, sa grandeur absolue la norme, sa position la direction: nos élèves des collèges définissent le vecteur par ces trois caractéristiques, la définition "abstraite" (par l'intermédiaire du concept d'espace vectoriel) ayant été repoussée plus loin dans la scolarité.
(5) Giusto Bellavitis (1803-1880), mathématicien italien, a défini le concept d’équipollence et a aidé à la formulation moderne du concept de vecteur entre 1832 et1845. On oublie souvent en faisant référence à son apport dans les mathématiques (équipollence, vecteurs, quaternions) de mentionner justement le travail antérieur d’Argand et de Français dans les Annales de Gergonne.
(6) On trouve la liste exhaustive des travaux de Bellavitis sur cette question dans [Elie Cartan, 1953 ; pp. 344-345].
(7) Il emploie en fait la notation d’époque, à savoir KA:KB::KC:KD, le :: symbolisant l’égalité. (8) Réflexions sur la nouvelle théorie des imaginaires, suivies d’une application à la démonstration d’un théorème d’analise, T.V, p. 197, janvier 1815
(9) Argand substitue à la règle des signes une règle des lignes +, −, ~ , ou | barrant le ~. Son application à l’exemple pris par Argand donne une multiplication de

par

, soit une addition des chiffres 1 et 3 dans la règle des lignes ; ce qui donne 4, donc un signe +.
(10) Elie Cartan,
Œuvres complètes, Gauthier Villars, Paris, 1953, p. 340.
(11) Sur ce qu’est le principe de permanence, voir plus haut dans le texte.
(12) On peut par exemple donner du nombre irrationnel √2 en dessinant un triangle rectangle isocèle de côté 1, ou du nombre transcendant ∏ par approximation du cercle par polygones réguliers : il y a donc dans la « réalité » quelque chose qui « désidéalise » ces nombres. Rien de tel avec le nombre imaginaire i, malgré le travail d’Argand : le problème reste entier tout simplement parce que, au sens du « réalisme géométrique » hérité des Anciens, √-1 n’a pas de légitimité et ne peut en acquérir.
(14) "
Essai sur une manière de représenter les quantités imaginaires, dans les constructions géométriques", Annales, T.IV, novembre 1813, pp. 133-147.