« Sur l’existence d’une cause nouvelle ayant une influence sensible sur l’équation séculaire de la Lune », Comptes rendus des séances de l’Académie des Sciences, 1865, t. 61, p. 1023-1032.
1865
Delaunay établit que les marées océaniques sont la cause du ralentissement de la rotation axiale diurne de la Terre, et de l’accélération du mouvement de rotation orbital de la Lune (et donc de son éloignement, de 3-4 cm/an) [publié dans le cadre du bicentenaire de la naissance de Delaunay, avril 1816]
L’effet de marée est proportionnel à la masse de l’astre attracteur, Lune ou Soleil, bien sûr ; mais il est en 1/R3 de la distance R à l’astre, et pas en 1/R² (en fait c’est la dérivée/gradient de la force gravitationnelle qui intervient) : c’est ainsi que la Lune « l’emporte », son effet de marée sur Terre est deux fois supérieur à celui du Soleil.
Et là… un enchaînement inextricable (et pas toujours facilement explicable) de phénomènes se produit : 1. le bien connu « bourrelet » de marée océanique (ils sont en fait 2 sur la surface océanique, l’un face à la Lune, l’autre diamétralement opposé) frotte sur la croûte terrestre océanique ; 2. Ce frottement ralentit la rotation axiale terrestre ; 3. le bourrelet se décale aussi de l’axe Terre-Lune – ce qui provoque un couple de torsion qui a tendance à accélérer la rotation orbitale lunaire (de 6 secondes par… siècle) et à éloigner la Lune (qu’on peut aussi expliquer par la conservation du moment cinétique global Terre-Lune : la Terre ralentit, donc la Lune accélère). Et voilà pourquoi, Madame, la Lune s’éloignant de la Terre, il n’y aura plus d’éclipses totales de Soleil mais uniquement des éclipses annulaires… dans 500 millions d’années.
Anders Persson nous brosse, à partir d’un article à l’Académie des sciences du polytechnicien Delaunay, en 1865, une histoire de ces variations du mouvement séculaire de la Lune. Laplace, trop sûr de lui, n’avait pas vu l’effet de marée mais tenait pour un ralentissement séculaire de 10 secondes par siècle. Delaunay montre, bien après, que la cause du ralentissement de la rotation terrestre était celle du frottement des marées : et il le démontre par l’analyse. Mais dans le même temps, Mayer en Allemagne, Tyndall en Grande-Bretagne y réfléchissaient, ainsi que le météorologiste Ferrel, aux (pas encore) États-Unis, en 1864 (une année avant Delaunay !).
Quant à Anders Persson, il se pose une question quasi métaphysique : Comment la Lune « sait-elle » que la Terre ralentit et comment « sait-elle » qu’elle doit accélérer « afin de » conserver le moment cinétique total ? Réponse en lisant l’article.
A.M.
Anders Persson, FRMetS (Fellow of the British Royal Meteorological Society), est aussi membre honoraire de la Société suédoise de météorologie. Chercheur émérite à l’université d’Uppsala, il a exercé ses fonctions notamment au Centre européen de prévisions météorologiques à moyen terme (CEPMMT – ECMWF, Reading, GB), à l’Institut météorologique et hydrologique suédois (SMHI, Norrköping, SE) et au Meteorological Office (Exeter, GB)

Notre civilisation se doit d’être reconnaissante à la Lune. Le progrès des mathématiques a largement été mené par la recherche des éclipses solaires et lunaires, et par la détermination de la date de Pâques – recherche qui passait par l’étude de l’orbite lunaire (elle ne fut possible à haute précision qu’après les Principia de Newton).
De nos jours, grâce à des siècles de progrès scientifique, nous pouvons faire des prédictions très précises des éclipses à venir, en particulier des éclipses totales de Soleil, qui nous intéressent au plus haut point. Grâce aux techniques du laser, en utilisant des réflecteurs laissés sur le sol lunaire par les missions américaines et russes, il est possible de mesurer très précisément la distance de la Terre à la Lune. Ces mesures indiquent que notre partenaire céleste nous quitte doucement, à la vitesse de 10-9 m/s, soit 3-4 cm/an. Son éloignement croissant, le diamètre angulaire de la Lune diminue, et un jour elle ne couvrira plus la totalité du disque solaire, même quand le Soleil est au plus proche. Un jour se produira donc la dernière éclipse totale…
Figure 1 : Le réflecteur laser LLR (Lunar Laser Ranging Experiment) déposé sur le sol lunaire par la mission Appollo 14 (février 1971) (image WikiCommons / NASA)
Quand aura lieu la dernière éclipse totale de Soleil ?
La dernière occasion de voir une éclipse totale ne devrait pas être d’un souci immédiat pour nous. La distance moyenne de la Terre à la Lune varie entre 357 000 et 407 000 km. En supposant que cette excentricité de l’orbite et que le volume des deux corps reste constant, un modèle géométrique simple nous amène à une date située dans environ 570 millions d’années ; ceci se produit quand la Lune est distante de 18 000 kms supplémentaires, ou jamais plus proche que 375 000 kms de la Terre.
Figure 2 : La dernière éclipse aura lieu quand aucun des points de la terre T ne pourra être dans le cône d’ombre totale de la Lune. RL et RS sont les distances respectives de la Lune et de la terre au Soleil, rL et rS les rayons [pour arriver à l’équation en haut, on pose l’équation des triangles semblables rL / rS = (RL - rT)/(RS -rT)]
Cette valeur est à peu près conforme à d’autres calculs plus élaborés qui donnent cette date à environ 600-1200 millions d’années. L’incertitude est cependant énorme : nous ignorons comment la taille du Soleil va évoluer pendant ce temps-là.
De l’importance des marées océaniques
Il est en revanche un mécanisme important à propos duquel nous savons quelque chose : la dérive des continents. Les modèles de tectonique des plaques et les mesures géophysiques confirment qu’environ tous les 500 millions d’années, notre planète subit un « cycle supercontinental[1] ». Le dernier supercontinent, la Pangée, s’est rompu il y a environ 300 millions d’années en de plus petits continents qui ont dérivé. Ils se rassembleront dans quelques centaines de millions d’années et formeront à nouveau un seul supercontinent, différent. Ce qui importe cependant n’est pas la forme des continents, mais la taille des océans qui les séparent, et la manière dont cela affecte les marées. Un supercontinent unique ne serait baigné que par un « super-océan » et subirait des marées plus « douces » ou amorties.
Indépendamment de cela donc, puisque les marées sont la cause du ralentissement de la rotation terrestre, elles le sont aussi de la distance qui sépare la Terre de la Lune, et de la date de la dernière éclipse ! Cette cause liée aux marées fut démontrée lors d’une présentation de 1865 à l’Académie des sciences (Paris), « Sur l’existence d'une cause nouvelle ayant une influence sensible sur la valeur de l'équation séculaire de la Lune », faite par l’astronome français Charles Delaunay (1816-1872) :
Les forces perturbatrices auxquelles sont dues les oscillations périodiques de la surface des mers (phénomène des marées), en exerçant leur action sur les intumescences liquides qu’elles occasionnent, déterminent un ralentissement progressif du mouvement de rotation de la Terre, et produisent ainsi une accélération apparente sensible dans le moyen mouvement de la Lune [p. 1031]
Figure 3 : Charles-Eugène Delaunay (1816-1872). Ancien élève de l’École polytechnique (X1834), ingénieur du Corps des mines, professeur à la Sorbonne et à Polytechnique, membre de l’Académie des sciences (1855). Il fait partie des 72 savants dont le nom est gravé sur la Tour Eiffel (ci-dessous, WikiCommons auteur Gede).
Il peut sembler farfelu que les marées océaniques fassent augmenter la distance de la Lune à la Terre, mais cette hypothèse avait déjà été émise au xviiie siècle. Ce fut une histoire pleine de soubresauts et de volte-faces : la compréhension du sujet a avancé à coup d’hypothèses et d’explications contradictoires, avec à chaque fois une utilisation pro domo des faits observationnels. Bien qu’il puisse sembler que le système Terre-Lune soit assez simple – après tout, il ne s’agit que : de la Terre, et de la Lune –, il est en fait horriblement compliqué. Le célèbre astronome anglais Edmond Halley (1656-1742) rapporte avoir entendu Newton dire que le mouvement lunaire « lui donnait mal à la tête et le tenait éveillé si souvent qu’il souhaitait n’y plus penser ».
Premières hypothèses spéculatives
Le premier sujet d’ordre scientifique était de savoir si le mouvement de rotation de la Lune autour de la Terre était constant, ou s’il subissait quelques variations.
Comme Delaunay le mentionne dans son article, Halley, déjà à la fin du xviie siècle, soupçonnait que la vitesse de la Lune augmentait. Un demi-siècle plus tard, un autre Anglais, Richard Dunthorne (1711-1775), calcula à partir de tables d’anciennes éclipses une accélération séculaire de 10’’.
Cependant, les essais d’explication de cette « accélération séculaire » restèrent infructueux, ce qui pouvait laisser penser que les lois de Newton n’étaient pas correctes.
Peut-on avoir confiance en les lois de Newton ?
Au début du xviiie siècle, tous les scientifiques n’étaient pas convaincus par la théorie newtonienne, et beaucoup préféraient encore la théorie du vortex de Descartes. L’un de ces derniers était Alexis Clairaut (1713-1765) qui, avec le soutien du mathématicien suisse Leonard Euler (1707-1783), annonça que la loi de Newton en inverse du carré de la distance était fausse ; il suggérait que l’on ajoutât un terme supplémentaire. Les savants qui préféraient encore Descartes jubilèrent. Et donc même Euler se tourna à nouveau, quelque temps, vers les lois de Descartes[2].
Cependant, lors du printemps 1748, Clairaut réalisa que sa théorie souffrait d’erreurs d’approximation quant aux calculs : le 17 mai 1749, il annonçait à l’Académie que sa théorie était à présent en accord avec les lois de Newton.
Figure 4 : Alexis Clairaut, mathématicien français (1713-1765), membre de l’Académie des sciences en 1731 (à 18 ans, comme « adjoint mécanicien » ; il sera « pensionnaire mécanicien en 1738, une fois l’âge de 25 ans atteint) (image WikiCommons)
La rotation de la Terre est-elle constante ?
Peut-être n’était-ce pas la Lune qui accélérait ? N’était-ce pas la Terre qui ralentissait ? Ceci pouvait être le résultat du frottement contre le toujours omniprésent « éther », supposé emplir l’Univers.
Pour compliquer encore le débat, il pouvait exister un mécanisme d’accélération de la Terre. Le refroidissement de notre planète pouvait la contracter et donc l’accélérer – comme la danseuse de ballet ou la patineuse, abaissant leurs bras, accélèrent. Ce qui aurait pour conséquence de raccourcir la durée du jour, sachant que celle-ci était mesurée par rapport au Soleil, qui était un « étalon » indépendant.
Pierre-Simon de Laplace (1749-1827) était certain que depuis Hipparque (190-120 av. J.-C.), la durée du jour n’avait pas bougé de plus de 1/100e de seconde. Il avait de bonnes raisons d’être confiant car il pensait avoir trouvé une preuve mathématique de l’ « accélération séculaire » de la Lune de 10 secondes par siècle, sans faire appel à une quelconque variation de la vitesse de la Terre. Le 23 octobre 1787, il présente à l’Académie un « Mémoire sur les inégalités séculaires des planètes et des satellites » donnant l’équation 10,18"×T2+0,02"×T3 pour l’accroissement séculaire (T étant le nombre de siècles). Cette accélération lunaire pouvait selon Laplace être expliquée par le caractère elliptique de l’orbite terrestre, et par l’effet gravitationnel du Soleil et des autres planètes. Des résultats similaires seront obtenus par Lagrange, par Giovanni Plana[3] (1781-1864) et par le baron Marie-Charles-Théodore de Damoiseau de Montfort (1768-1846).
[bis] Laplace peut-il avoir tort ?
Or, en 1853, l’astronome anglais John Couch Adams (1819-1892) démontre que Laplace avait fait des approximations trop étendues, en négligeant certains termes. Adams, incluant ces termes, arrivait à une valeur séculaire de 5’’70, moitié de celle de Laplace. Cette correction de Laplace par Adams provoque un certain débat outre-Manche (côté français) : car non seulement Adams avait corrigé l’ « immense » Laplace, mais de surcroît s’était querellé avec Le Verrier à propos de la découverte de la planète Neptune[4].
Mais Adams allait recevoir un fervent soutien de son collègue Delaunay. En 1860 et 1867, celui-ci publie deux imposants volumes de mécanique lunaire (La Théorie du mouvement de la Lune), soutenant les affirmations d’Adams ; et dans sa présentation de 1865 à l’Académie (texte BibNum), il explique ces 6’’ séculaires manquantes par… l’influence des marées.
L’article de Delaunay est un jalon de la science. Deux sciences, la géophysique et la mécanique céleste, y joignent leurs forces pour montrer que les marées océaniques, générées par la Lune, rétroagissent sur elle pour augmenter lentement sa distance à la Terre. Pour apprécier la portée de cet article, nous devons d’abord comprendre à quoi se rapportent les marées.
La mécanique des marées
Déjà l’homme préhistorique avait déjà fait le lien entre les marées et les deux objets célestes les plus apparents, la Lune et le Soleil. Il n’est pourtant pas évident du tout que la Lune ait une quelconque influence sur les marées océaniques.
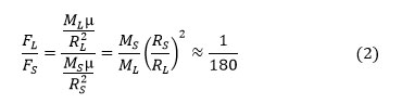
L’attraction gravitationnelle due à la masse du Soleil (MS = 1,99·1030 kg) est 30 milliards de fois plus forte que celle due à la Lune (ML=7,34·1022 kg). Cependant celle-ci est, bien sûr, à une distance beaucoup plus proche RL=384·106m, comparée à RS = 15000·106 m. L’attraction gravitationnelle de la Lune sur un élément de masse μ est :

et pour le Soleil :

Le rapport des deux est :

Ceci montre que l’effet gravitationnel de la Lune sur une masse terrestre est d’environ 1/180e de celui du Soleil.
Le premier paradoxe
Ici nous rencontrons notre premier paradoxe : bien que sur Terre l’effet gravitationnel de la Lune soit presque 200 fois plus petit que celui du Soleil, c’est bien la Lune qui affecte les marées plus que le Soleil. Car ce qui importe pour l’effet de marée n’est pas l’amplitude de l’effet gravitationnel en tant que tel, mais la façon dont il décroît à l’inverse de la distance[5].
Les eaux océaniques sur la partie de la Terre face à l’astre (Soleil ou Lune) sont attirées légèrement plus que ne l’est la Terre elle-même : ceci conduit à un bourrelet de la surface océanique en direction de l’astre attracteur (Soleil ou Lune). Par ailleurs, la Terre elle-même est plus proche de l’astre que ne le sont les eaux océaniques figurant « derrière » (à l’opposé diamétral des eaux faisant face à l’astre) : ceci conduit à un bourrelet « arrière ». Ce qui explique pourquoi il y a deux marées océaniques (un point océanique donné passant une fois par jour devant l’astre et à son opposé diamétral), avec deux maxima et minima, et non une seule marée quotidienne[6].
Figure 5 : L’effet gravitationnel dû au Soleil (en haut) est bien supérieur à celui dû à la Lune (en bas) (cf. largeur des flèches). Mais, comme le Soleil est beaucoup plus éloigné, son effet « différentiel » entre l’avant et l’arrière est plus faible de moitié que celui de la Lune (cf. longueur des flèches – toutes les proportions de la figure sont bien sûr exagérées)
Un peu de mathématiques
La façon dont les forces d’attraction varient entre « face avant » et « face arrière » de la Terre est liée au gradient de la force d’attraction. On l’obtient par dérivation de la force FL par rapport à la distance :

En effectuant la même dérivation pour la force gravitationnelle solaire, le rapport des deux effets devient :

Ce qui conduit, avec les mêmes valeurs approximatives :

Voici pourquoi la Lune a plus d’influence sur les marées que le Soleil : parce que l’effet marée est en 1/R3 (gradient de la force de Newton), et non en 1/R² (force de Newton).
Donc maintenant, si les marées ralentissent la rotation terrestre, comment se fait-il que cela éloigne la Lune de la Terre ?
Deux explications
Il y a pour cela deux explications, différentes mais cohérentes entre elles. L’une est brève et facile du point de vue du calcul, mais ne nous dit pas vraiment « ce qui se passe ». L’autre, celle de Delaunay, est plus longue, nous explique « ce qui se passe », mais est compliquée d’un point de vue calculatoire.
Commençons par la première : La somme du moment cinétique de la terre en rotation autour de son axe et de la Lune tournant autour de la terre est constante. Quand la vitesse de la rotation terrestre axiale diminue, la Lune augmente sa vitesse de rotation orbitale et donc son moment cinétique, par conservation du moment cinétique total.
Cette conservation du moment cinétique L est une des lois fondamentales de la physique. Dans sa forme la plus simple,
L = m·v·r
où v est la vitesse tangentielle et r la distance au centre de rotation. Le moment cinétique varie seulement si agit un couple, c’est-à-dire une force accélérant le corps dans la direction tangentielle – sinon il reste constant.
Comment la Lune « sait-elle » ?
Cette explication par le moment cinétique permet de prédire aisément à quelle distance sera la Lune dans quelques millions d’années… Cependant, elle nous laisse sur notre faim : Comment la Lune « sait-elle » que la Terre ralentit et comment « sait-elle » qu’elle doit accélérer « afin de » conserver le moment cinétique total ?
Dans le cas de la Terre, nous savons que le ralentissement de son moment cinétique propre est dû au frottement des marées. Mais qu’en est-il pour la Lune ? D’où viendrait le couple dirigé tangentiellement à son orbite, qui ferait croître son propre moment cinétique ?
C’est justement ce point qui est bien expliqué par Delaunay en 1865.
Voici comment la Lune « sait »
Dans la figure 5, le bourrelet formé par la marée océanique est dirigé directement vers les corps célestes attracteurs. Mais ceci ne se produirait que dans le cas idéal où il n’y aurait pas de frottement entre l’eau océanique liquide et la croûte océanique solide. Ce frottement a pour effet non seulement de ralentir la rotation terrestre, mais aussi de déplacer le renflement de la marée dans la direction de la rotation, c’est-à-dire vers l’est (comme il y a frottement, la Terre « emmène » le bourrelet avec elle). Ceci se produit car la Terre tourne plus vite sur elle-même que la Lune tourne autour de la Terre – il y a un différentiel positif en faveur de la Terre (et donc de l’entraînement du bourrelet). Eût-ce été le contraire, le bourrelet de marée aurait été déplacé vers l’autre direction, à l’inverse du sens de rotation.
Puisque donc le bourrelet de marée n’est pas dirigé exactement vers le centre de la Lune (cas idéal), et que les deux bourrelets (celui d’avant et celui d’arrière) ne sont pas situés aux mêmes distances de la Lune, celle-ci « sent » cette asymétrie. Le bourrelet situé face à la Lune a un effet plus important et l’accélère ; le bourrelet situé à l’arrière la ralentit, mais son effet est moins important car il est plus distant. Le résultat de ce couple est une force contribuant à accélérer la rotation de la Lune et à éloigner son orbite (figure 6).
Figure 6 : Les renflements sont légèrement (ici c’est exagéré) décalés par rapport à l’axe des centres. Le renflement le plus proche a pour effet d’augmenter la vitesse tangentielle orbitale de la Lune, et l’emporte sur le second, plus distant, qui a pour effet de la ralentir. La Lune va « utiliser » sa vitesse accrue pour se déplacer vers une orbite plus large, où sa vitesse rediminuera.
Ces deux explications prédisent que la Lune va « accélérer » sa rotation, alors qu’en fait celle-ci diminuera. Alors que se passe-t-il réellement ? Là intervient notre second paradoxe.
Le second paradoxe
Pour un corps solide, toute variation du moment cinétique axial (cas de la Terre) se traduit nécessairement par une variation de la vitesse tangentielle de rotation v. S’il s’agit d’un moment cinétique orbital (cas de la Lune), une variation peut aussi se traduire par une variation de la distance à l’axe r.
Pour un satellite (comme l’est la Lune) en mouvement inertiel permanent, non perturbé, l’attraction gravitationnelle centripète équilibre l’effet centrifuge :

Cette équation peut servir d’expression à l’énergie cinétique K :

Quand la Lune prend une orbite plus large (r augmente), le terme de gauche de (5b) décroît, et donc la vitesse v dans le terme central aussi, avec l’énergie cinétique K. Ceci est conforme à la 3e loi de Kepler suivant laquelle plus la planète (ou le satellite) est éloignée du centre de rotation (que celui-ci soit le Soleil ou la Terre), le moins vite elle tourne.
Prenons, à l’inverse, le cas d’un satellite terrestre en fin de vie (une météorite, par exemple), entrant dans l’atmosphère terrestre. La rencontre des premières molécules gazeuses de l’atmosphère génère une résistance de frottement, et joue comme un couple de torsion contre la rotation (effet inverse de celui des marées pour la Lune), couple qui tend à réduire le moment cinétique du corps. Cependant sa vitesse tangentielle croît ! À cause du frottement, le satellite tombe progressivement sur la Terre : celle-ci convertit l’énergie potentielle de son satellite (liée à la distance, qui diminue) en énergie cinétique (augmentation de la vitesse du corps).
Avant Delaunay, quelles hypothèses ?
L’idée des marées ralentissant la rotation terrestre n’était pas entièrement neuve quand Delaunay fit sa présentation. Ce qui fut retenu contre lui, dans la polémique qui s’ensuivit. Delaunay prend néanmoins soin de préciser (note de bas de page 1028) que les discussions trouvées « dans certains ouvrages imprimés » ont été surtout qualitatives, et que lui quantifie le phénomène :
J'apprends que cette idée d'une résistance que la Lune oppose continuellement au mouvement de rotation de la Terre, par suite de son action sur les eaux de la mer, a déjà été formulée dans certains ouvrages imprimés. Il y est dit en même temps que l'effet produit par cette résistance est trop petit pour être sensible. Je ferai remarquer à cette occasion que la Note que j'ai lue à l'Académie a eu pour objet, non pas de faire connaître cette cause du ralentissement de la rotation de la Terre, mais bien de montrer : 1º que le ralentissement qui en résulte est loin d'être insensible ; 2° qu'on peut y voir l'explication complète de la partie de l'équation séculaire de la Lune dont la cause assignée par Laplace ne peut rendre compte.
L’hypothèse de Kant (1754)
Peut-être Delaunay ne savait-il pas que cette hypothèse des marées ralentissant la rotation terrestre avait été faite plus d’un siècle auparavant par le (plus tard) célèbre philosophe allemand Emmanuel Kant ? Dans un journal local, Wöchentlicher Königsbergischen Frag- und Anzeigungs-Nachrichten, les 8 et 15 juin 1754, Kant publie sa solution à la question posée par l’Académie prussienne des sciences sur la régularité de la rotation terrestre : "Untersuchung der Frage, ob die Erde in ihrer Umdrehung einige Veränderung erlitten habe" (Examen de la question : si la Terre a subi quelque modification dans sa rotation).
Si la surface d’une planète contient beaucoup d’eau, il y aura un bourrelet de marée. L’attraction combinée de la Lune et du Soleil déplacerait le bourrelet vers l’ouest, selon Kant, à cause de la rotation terrestre qui est vers l’est. Compte tenu de l’irrégularité des fonds marins, des îles et des falaises, l’eau exercera un frottement de ralentissement sur la rotation terrestre. C’est seulement lorsque la rotation terrestre aura suffisamment diminué pour être synchrone avec la vitesse orbitale lunaire que ce processus cessera. Kant essaie même de calculer la date de cet événement, trouvant 2 millions d’années (les calculs actuels conduisent à une date bien plus éloignée).
Les lois de la dynamique n’étaient pas bien comprises à l’époque : la conclusion de Kant était fondée sur l’idée que la force de marée produisait un mouvement de l’océan vers l’ouest. Ce qui maintient le bourrelet de marée vers l’est (avec la rotation de la Terre) est justement le frottement décrit par Kant.
Kant semble s’être exagéré l’amplitude du déplacement horizontal de l’eau. À l’instar des vagues océaniques, le déplacement horizontal est bien inférieur à ce que laisse supposer la vitesse de phase (c’est la forme de la surface de l’eau, à savoir la vague, qui se meut, et non l’eau elle-même). Par ailleurs, Kant ne considérait que le bourrelet situé face à la Lune, et non celui qui est à l’opposé.
L’explication de Robert Mayer (1848)
En 1848, le physicien Julius Robert Mayer (1814-1878), sans doute ignorant l’hypothèse kantienne, publia une explication analogue dans les Beiträge zur Dynamik des Himmels (Contributions à la mécanique céleste). Mais à la différence de Kant, il prenait en considération les deux bourrelets. Il allait aussi plus loin, en tirant la conclusion que la Lune augmentait sa vitesse tangentielle et s’éloignait donc de la Terre.
Les marées ont aussi un effet perturbant sur la trajectoire de la Lune. Le haut du bourrelet d’eau situé à l’est de la Lune l’attire plus, ce qui augmente continuellement la vitesse tangentielle de ce satellite, la distance moyenne Terre-Lune, et sa période orbitale. Cependant, le calcul montre que cet effet est insignifiant : la période orbitale de la Lune n’augmentera que de quelques fractions de secondes au cours des prochains siècles.
Figure 7 : Julius Robert Mayer (1814-1878) (image WikiCommons)
Mayer conservait cependant, de manière erronée, l’hypothèse selon laquelle la rotation axiale terrestre allait en s’accélérant à cause du refroidissement interne de la planète (effet patineur, cf. supra).
John Tyndall refait vivre l’explication de Mayer
Mayer, resté connu par ailleurs pour avoir soutenu la notion de conservation de l’énergie, ne fut pas prophète en son pays. Ses œuvres jusqu’alors survolées furent présentées en 1862 par le physicien irlandais John Tyndall (1820-1893) lors d’une séance du Royal Institute, et dans un ouvrage intitulé Heat as a Mode of Motion (1870). Tyndall s’engagea dans la promotion des théories de Mayer en les traduisant en anglais, et en les publiant dans des revues scientifiques, autant anglaises qu’américaines.
Figure 8 : John Tyndall (1820-1893) (image WikiCommons | photographie collection privée)
Il comparait, de manière pédagogique, les bourrelets de marée à des montagnes terrestres :
Concevons que la Lune soit fixe et que la Terre tourne comme une roue de l'ouest à l'est, dans sa rotation diurne. Une montagne terrestre, en s'approchant du méridien de la Lune, se trouve comme saisie par la Lune telle une poignée par l’effet de laquelle la Terre va tourner plus vite. Mais lorsque la montagne a passé le méridien, l'action de la Lune s'exerce en sens contraire et tend à diminuer la vitesse de rotation autant qu'elle l'augmentait auparavant ; et c'est ainsi que l'action exercée par la Lune sur tous les corps fixés à la Terre se trouve annulée ou neutralisée.
Mais admettons que la montagne reste toujours située à l'est du méridien de la Lune, alors l'attraction du satellite s'exercera toujours dans le sens opposé à la rotation de la Terre, DONT LA VITESSE DIMINUERA, par conséquent, d'une quantité proportionnelle à l'intensité de l'attraction. La marée occupe cette position : elle est toujours située à l'est du méridien de la Lune; les eaux de l'Océan sont, en partie, traînées comme un frein sur la surface de la Terre, et, comme un frein, elles diminuent la vitesse de rotation de la Terre […][7]
Ce fut probablement via Tyndall que le météorologiste et mathématicien américain William Ferrel (1817-91) eut à connaître de l’explication de Mayer. Il fait sa présentation à Boston devant l’Académie américaine, le 13 décembre 1864, un an avant Delaunay… Ce qui provoqua certaines réclamations d’antériorité contre Delaunay.
Mais il apparaissait très clairement, de la présentation de Ferrel, que celui-ci tenait son idée de Mayer. Comme lui, il invoquait la possibilité d’une accélération de la rotation terrestre à cause du refroidissement. Ceci ne figure pas dans la présentation de Delaunay : nous proposons donc de lui laisser la priorité de sa découverte.
Le débat sur le mécanisme exact ne se termina pas dans les années 1860 et continue depuis. Mais les arguments et contre-arguments pour les différentes théories sont si compliqués que, pour paraphraser sir Isaac Newton, ce sujet fait mal à la tête à tout un chacun, l’empêche de dormir, de telle sorte que plus personne n’y pense encore.
(avril 2016)
(traduit de l’anglais par Alexandre Moatti)
[1]. Voir le texte de Wegener (1912) sur la dérive des continents, en ligne et analysé par Marco Segala, BibNum (novembre 2012).
[2]. De manière notable, juste avant que Clairaut ne fit son annonce, d’Alembert déposa une note à l’Académie qui montrait des résultats cohérents avec ceux de Clairaut.
[3]. Giovanni Plana, né en Lombardie, entre en 1800 à l’École polytechnique et y fut un élève du Turinois Lagrange. Un cratère de la Lune porte son nom.
[4]. Sur ce sujet, voir le texte de Le Verrier (1846), en ligne et analysé par James Lequeux, BibNum (juin 2010).
[5]. Ceci n’est pas totalement clair dans les explications de vulgarisation des marées. Trop souvent, seul l’effet gravitationnel de la Lune et celui du Soleil sont mentionnés. Malheureusement, Delaunay dans son article n’est pas aussi clair qu’on aurait souhaité qu’il fût.
[6]. Galilée avait essayé d’utiliser les marées comme preuve de la rotation terrestre diurne. Mais il avait échoué car il était dans l’incapacité d’expliquer pourquoi les marées avaient lieu deux fois par jour.
[7]. Tyndall, Heat as a Mode of Motion (1870), chapitre consacré au Soleil.
Livres sur les marées
|
Pour aller plus loin
|
![]() |
|
Sur Delaunay

