L’article « L'entraînement de la lumière par les corps mouvants selon le principe de relativité » publié par Max von Laue en 1907 montre la relation qui existe entre le postulat de Fresnel sur l'entraînement partiel de l'éther et la théorie de la relativité restreinte.

Figure 1 : Max von Laue (1879-1960, prix Nobel de physique 1914), vers 1924.
Jusqu'en 1905, toute l'optique ondulatoire et toute la théorie électromagnétique postulaient l'existence d'un éther que certains physiciens croyaient immobile et d'autres entraîné par les corps mobiles, comme la Terre. Cet éther allait poser un certain nombre de difficultés aux physiciens à travers le siècle.
@@@@@@@
François Arago (1786-1853) avait réalisé une expérience
(1), en 1810, dans le cadre de la théorie dite de l'émission de particules. Il tentait de déterminer si la lumière entrant dans un prisme serait réfractée d'une façon différente si elle entrait, croyait-il, avec des vitesses différentes. Pour cela, il avait utilisé la lumière provenant d'une même étoile à deux époques de l'année, car il pensait que le changement de vitesse de la Terre par rapport à l'étoile entraînerait un changement de vitesse de la lumière de l'étoile entrant dans le prisme. Le résultat fut négatif et Arago demanda à Fresnel si la théorie ondulatoire de la lumière pouvait expliquer ce fait.
Fresnel, en 1818, fait l'hypothèse
(2) selon laquelle on peut considérer le retard de la lumière dans un milieu plus réfringent que le vide lorsque ce milieu est immobile, comme résultant uniquement d'une plus grande densité ; ce qui donne le moyen de déterminer le rapport de densité dans deux milieux ; car on sait, dit-il, qu'il doit être inverse de celui des carrés des vitesses de propagation des ondes dans ces milieux.
Il postule alors un entraînement partiel de l'éther par les milieux réfringents. L'idée de départ de cette affirmation est que l'indice de réfraction d'un milieu transparent (comme un prisme d’indice n) reflète la concentration de l'éther dans la matière et que plus précisément la densité d'éther est proportionnelle au carré de l'indice de réfraction : ρ1= n² ρ0, ρ1 étant la densité d’éther dans le milieu d’indice n, et ρ0 la densité d’éther dans le vide.
Fresnel suppose de plus que c'est seulement l'excès d'éther (ρ1 - ρ0) qui est entraîné lorsque le corps transparent se déplace à la vitesse v ; l’éther se déplace alors à la vitesse w

avec

Ce coefficient α est appelé « coefficient d’entraînement partiel de l’éther », (ou coefficient de Fresnel). Dans le vide n=1, le coefficient de Fresnel est alors nul et il n'y a pas d'entraînement de l'éther par les corps en mouvement.
L'éther et la vitesse de la lumière dans les milieux réfringents
Si l'on considère que la lumière est une onde de vitesse c dans le vide ou dans l'éther interstellaire immobile d'indice de réfraction égal à 1, on écrit, compte tenu de la définition de l'indice de réfraction, que dans un milieu réfringent d'indice n, immobile par rapport à l'éther, la lumière a une vitesse c/n par rapport à cet éther. Si l'éther se déplace lui-même, la lumière aura encore la même célérité c/n, dans le même milieu réfringent, par rapport à cet éther, puisque c'est cet éther lui-même qui est le support des vibrations. Soit maintenant un milieu réfringent mobile m d'indice n, qui baigne dans un éther E. Appelons vmI =w la vitesse de ce milieu m par rapport à l'éther immobile I. L'éther E lui même peut être éventuellement entraîné par le mouvement du milieu réfringent m. Appelons α (compris entre 0 et 1) le coefficient d'entraînement de l'éther E par rapport à l'éther immobile I. On a vEI = αw. Une onde lumineuse (selon le principe d'addition des vitesses classique) se propagera alors dans le milieu m avec la vitesse c' par rapport à l'éther immobile I:

@@@@@@@
Cette valeur du coefficient de Fresnel de « l’entraînement partiel de l’éther » allait trouver quelque temps plus tard une confirmation expérimentale avec l’expérience de Fizeau (1851). Celui-ci, guidé lui aussi par Arago, avait exposé à plusieurs reprises le principe d'expériences (dites cruciales) destinées à déterminer si l'éther est entraîné ou non par les corps massifs (comme la Terre dans son mouvement, ou comme un fluide en mouvement). Il posait ainsi le sujet dans sa publication de 1851 :
Ces hypothèses (…) se rapportent à l'état dans lequel on doit considérer l'éther qui existe dans l'intérieur d'un corps transparent : Ou l'éther est adhérent et comme fixé aux molécules du corps, et partage, par conséquent les mouvements qui peuvent être imprimés à ce corps; Ou bien l'éther est libre et indépendant, et n'est pas entraîné par le corps dans ses mouvements; Ou, enfin, par une troisième hypothèse, qui participe de l'une et de l'autre, une portion seulement de l'éther serait libre, l'autre portion serait fixée aux molécules du corps et partagerait seule ses mouvements.

Figure 2 : Schéma de l’expérience de Fizeau. L'expérience met en jeu les interférences résultant de l'addition de deux faisceaux lumineux issus d'une même source au travers d'un miroir semi-transparent m et traversant un courant d'eau, l'un dans le sens de la propagation de l'eau et l'autre en sens inverse. Les trois miroirs M sont à 45° et L est la longueur d'un bras.
Fizeau observe dans son expérience une différence de temps de parcours de la lumière dans un éther partiellement entraîné : cette différence de temps de parcours est de

où α est le coefficient d’entraînement de Fresnel, et v/c le rapport entre la vitesse du courant et la vitesse de la lumière dans l’éther non entraîné. Ce résultat, faisant intervenir le coefficient de proportionnalité α, semble confirmer la prédiction de Fresnel d’un entraînement partiel de l’éther avec un coefficient égal à α = 1 – 1/n², infirmant les théories de l’entraînement total (α = 1) ainsi que celles de l’absence d’entraînement (α = 0).
Ce type d’expérience fut baptisé « du premier ordre en v/c », ne faisant intervenir que la puissance première de v/c : d’ailleurs, toute expérience où l’un des composants était en mouvement par rapport à l’autre, par exemple la lumière remontant un courant d’eau dans l’expérience de Fizeau, implique des coefficients en v/c et est donc du premier ordre. Après l’expérience de Fizeau, plusieurs autres expériences du premier ordre ont été faites, et toutes donnent un résultat expérimental confirmant la valeur du coefficient de Fresnel. On aboutit donc alors à la conclusion suivante : il n’est pas possible de détecter l’entraînement partiel par des expériences du premier ordre.
@@@@@@@
Finalement allait arriver la première expérience du second ordre en v/c, celle de Michelson en 1887. On sait que son résultat sera un des fondements des travaux de Lorentz, de Poincaré et d’Einstein sur la relativité.
Mais c’est Max von Laue qui prendra la peine d’assurer le lien avec les expériences (valides !) du « premier ordre », comme celle de Fizeau, et mettre ainsi fin à cette impasse épistémologique d’une théorie caduque (l’éther de Fresnel) donnant pourtant des résultats corrects. Dès 1907, deux ans après la publication de l’article d’Einstein sur la relativité restreinte, Laue comprend que, physiquement, le postulat de Fresnel correspond, en première approximation, à la loi d'addition des vitesses de la relativité restreinte.
Pour deux systèmes optiques en translation rectiligne et uniforme avec une vitesse v de l'un par rapport à l'autre, appliquer la relativité restreinte c'est à dire les transformations de Lorentz ou traiter le problème en mécanique classique avec un éther partiellement entraîné selon la relation de Fresnel donne, en première approximation, les mêmes résultats.
Pour vérifier cela, Laue applique, ce qu'il appelle « le théorème d'addition des vitesses d’Einstein
(3) », qui est la conséquence du fait que les transformations de Lorentz forment un groupe.


Figure 3 : Théorème d’addition des vitesses d’Einstein. Il s’agit ici d’extraits de l’article original de 1905 d’Einstein sur la relativité restreinte ("Sur l’électrodynamique des corps en mouvement"). Dans le deuxième extrait, on vérifie que toute vitesse w « ajoutée » à la vitesse de la lumière V conduit à la vitesse V (la vitesse de la lumière est une borne supérieure).
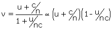
On peut simplifier les équations données par Von Laue en se plaçant, dès le départ, dans deux repères dont les axes des x sont parallèles : ce qu’il fait dans son texte en prenant le cas particulier cosθ=1, et qui correspond au cas particulier posé dans l’extrait figure 3. Ce cas est celui de l’expérience de Fizeau, qui s’interprète alors simplement dans le cadre relativiste. Soit u la vitesse du liquide dans le tube, v’ la vitesse de la lumière dans le liquide en déplacement (v’= c/n, n étant l’indice de réfraction du liquide). La vitesse v de la lumière par rapport au tube est donnée par la formule relativiste de composition des vitesses :

Max von Laue indique que pour u << c, un développement au premier ordre donne :

soit, en négligeant les termes en u² :

ce qui revient à formule classique (non relativiste) d’addition des deux vitesses v’ et αu. Cette dernière valeur correspond, dans la théorie de l’éther, à l’entraînement partiel de l’éther par l’eau en mouvement à la vitesse u dans le tube : on retrouve ainsi en ce bas d’encadré (calcul relativiste au premier ordre) la formule de bas du premier encadré (calcul classique).
On démontre ainsi, grâce aux développements limités de Laue, que la composition relativiste des vitesses équivaut, au premier ordre, à l’addition classique des vitesses. Les calculs de Laue permettent de retrouver et de valider le postulat de Fresnel (entraînement partiel) dans la représentation de l'optique ondulatoire et de l'éther luminifère ; ils valident aussi l’expérience de Fizeau de 1851.
Novembre 2010

(1) Voir analyse BibNum par James Lequeux, à http://www.bibnum.education.fr/physique/astronomie/memoire-sur-la-vitesse-de-la-lumiere
(2) Le célèbre texte de Fresnel (sous forme de lettre à Arago) où il développe ses considérations mécaniques sur l'entraînement partiel de l'éther est donné par BibNum avec la présente analyse (onglet « À télécharger »).
(3) En allemand : « Das Einsteinsche Additionstheorem der Geschwindigkeiten ». On parle de nos jours plutôt de formule de composition des vitesses.