Cet article de Leonhard Euler (1707-1783), publié pour la première fois en 1753 dans les
Mémoires de l'académie des sciences de Berlin (1) puis inclus dans l’ouvrage intitulé
Dissertation sur le principe de la moindre action avec l'examen des objections de M. le Professeur Koenig faites contre ce principe (2), porte sur la célèbre dispute qui opposa Johann Samuel König (1712-1757), membre associé étranger de l’Académie de Berlin, à Pierre Louis Moreau de Maupertuis (1698-1759), qui en était le président, au sujet du principe de moindre action qui était initialement connu comme suit : « la nature agit toujours par les voies les plus simples et les plus courtes ».
Ce principe, avant sa formalisation mathématique par Joseph-Louis Lagrange (1736-1813), se concevait à partir de considérations religieuses et métaphysiques : Dieu agit toujours de la façon la plus simple – ainsi les lois de l’optique, par exemple, montrent clairement dans la nature une authentique finalité divine, indépendante de tout autre principe physique. C’était la vision, parmi d’autres, de Fermat, Leibniz, Maupertuis ou Euler.
Le principe de moindre action sera démontré mathématiquement, et publié sans ces considérations métaphysiques, par Lagrange, en 1788, dans sa Mécanique analytique à partir du principe des vitesses virtuelles ou principe de d'Alembert qui est une nouvelle formulation des lois de la dynamique de Newton. Mais les premiers travaux de Lagrange sur le sujet datent de 1756. On sait par le registre des séances de l'Académie de Berlin que le 6 mai 1756 fut déposée une lettre de Lagrange à Euler sur la moindre action accompagnée d’un mémoire sur le sujet qui n'ont pas été publiés car ils ont été perdus.

Figure 1 : L’ancien billet de 10 CHF à l’effigie d’Euler (émis en 1976).
Le papier très polémique d’Euler ici commenté dénonce en quelques pages les erreurs de Descartes et de Leibniz concernant la réfraction optique et défend le principe exposé par Maupertuis. Le premier écrit de Maupertuis sur le sujet intitulé
Loi du repos des corps avait été lu le 20 février 1740 à l’Académie des Sciences de Paris et publié deux ans plus tard
(3). On trouve par ailleurs les termes "principe de la moindre quantité d'action" et "quantité d'action" dans son mémoire sur l’
Accord de différentes lois de la nature qui avaient jusqu’ici paru incompatibles publié dans les Mémoires de l'Académie de Sciences de Paris du 15 avril 1744. Le principe était présenté comme manifestant tout particulièrement la sagesse du Créateur – Maupertuis l’énonce comme suit :
Lorsqu’il arrive quelque changement dans la nature, la quantité d’action, nécessaire pour ce changement, est la plus petite qui soit possible. La quantité d’action est le produit de la masse des corps, par leur vitesse et par l’espace qu’ils parcourent. Lorsqu’un corps est transporté d’un lieu à un autre, l’action est d’autant plus grande que la masse est plus grosse, que la vitesse est plus rapide, que l’espace par lequel il est transporté est plus long.
Dans le troisième article qu'il publie deux ans plus tard (1746),
Les loix du mouvement et du repos déduites d'un principe métaphysique, Maupertuis insiste sur le fait que le principe de moindre action prouve, selon lui, l’existence de Dieu. Il réaffirme sa thèse en 1750 dans son fameux
Essai de cosmologie (4):
J’ai découvert un principe métaphysique sur lequel toutes les lois du mouvement & du repos sont fondées. J'ai fait voir la conformité de ce principe avec la puissance & la sagesse du créateur & de l'ordonnateur des choses. Ce principe est que dans toutes les distributions de mouvements qui se font dans la nature, la quantité d’action (qui est la somme des produits des masses par les espaces qu’elles parcourent, et par les vitesses avec lesquelles elles les parcourent) était toujours la plus petite qu’il est possible.

Figure 2 : (à d.) Pierre-Louis Moreau de Maupertuis (1698-1759) ; (à g.) son Essai de Cosmologie (la première édition est datée de 1750).
Le principe de moindre action dans la physique moderne
Dans Principe de la moindre quantité d'action pour la mécanique (1744), Maupertuis définit l'action comme suit :
L'Action est proportionnelle au produit de la masse par la vitesse et par l'espace. Maintenant, voici ce principe, si sage, si digne de l'Être suprême : lorsqu'il arrive quelque changement dans la Nature, la quantité d'Action employée pour ce changement est toujours la plus petite qu'il soit possible.
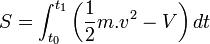
Comme l’indique Jean-Louis Basdevant, « il s’agit en fait de la circulation de la quantité de mouvement le long de la trajectoire », soit

:

De nos jours, l’action est définie en mécanique lagrangienne comme l’intégrale de la différence entre énergie cinétique et énergie potentielle :

On appelle Lagrangien la quantité intégrée ci-dessus, soir L = K – V, où K est l’énergie cinétique et V l’énergie potentielle.
L’équation d’Euler-Lagrange traduit comme suit le principe de moindre action (minimisation de l’intégrale ci-dessus). Pour un système à énergie totale constante (K + V = cte) – étant donné le lagrangien L (t, x,

), elle s’écrit :

Le principe de moindre action expliqué par Poincaré en 1908
Voici comment Henri Poincaré (1854-1912) commentait le lien entre le principe de moindre action et les équations de Lagrange (5) : […] Ces équations, je l'ai dit, doivent être conformes aux principes de la dynamique et en particulier au principe de la conservation de l'énergie et au principe de moindre action. Le premier de ces deux principes nous apprend que l'énergie totale est constante et que cette énergie se divise en deux parties 1° L'énergie cinétique ou force vive qui dépend des masses des molécules hypothétiques m et de leurs vitesses, et que j'appellerai T ; 2° Et l'énergie potentielle qui dépend seulement des coordonnées de ces molécules et que j'appellerai U. C'est la somme des deux énergies T et U qui est constante. Que nous enseigne maintenant le principe de moindre action ? Il nous enseigne que pour passer de la situation initiale qu'il occupe à l'instant t0 à la situation finale qu'il occupe à l'instant t1, le système doit prendre un chemin tel que, dans l'intervalle de temps qui s'écoule entre les deux instants t0 et t1 , la valeur moyenne de « l'action » (c'est-à-dire de la différence entre les deux énergies T et U) soit aussi petite que possible. Le premier des deux principes est d'ailleurs une conséquence du second. Si l'on connaît les deux fonctions T et U, ce principe suffit pour déterminer les équations du mouvement. Parmi tous les chemins qui permettent de passer d'une situation à une autre, il y en a évidemment un pour lequel la valeur moyenne de l'action est plus petite que pour tous les autres. Il n'y en a d'ailleurs qu'un, et il en résulte que le principe de moindre action suffit pour déterminer le chemin suivi et par conséquent les équations du mouvement.
Le principe de moindre action, selon ce qui précède, est un principe variationnel (minimisation d’une intégrale) qui, à l’inverse du principe fondamental de la dynamique, n’explicite pas le comportement de la matière ou d’un système sous forme de lois locales valables en un point de l’espace à un instant donné, mais décrit l’évolution du système entre deux instants donnés en deux positions spatiales successives
(6).
Après le travail de Lagrange, l'approche a évolué avec William Rowan Hamilton (1805-1865). En 1827-1828, ce dernier présenta dans les
Transactions of the Royal Irish Academy, la théorie d'une fonction qui unifie la mécanique et l'optique. Le principe variationnel établi par Hamilton, principe qui porte son nom, est une extension de la mécanique lagrangienne. Il sera reformulé par Karl Jacobi (1804-1851) pour aboutir à une formulation nouvelle de la mécanique classique, appelée actuellement
mécanique hamiltonienne (7) . L’étape suivante est due à Louis de Broglie (1892-1987), qui applique dans sa thèse, en 1924, le principe de moindre action à la mécanique ondulatoire. Enfin, Richard Feynman (1918-1988) a proposé, en 1942, une nouvelle formulation du principe dans sa thèse de doctorat intitulée
Le Principe de moindre action en mécanique quantique, permettant une nouvelle approche de la physique quantique où l’action apparaît comme la phase d’une onde de probabilité.
Une application du principe de moindre action : la chaînette
Le principe de moindre action a de nombreuses applications. Les plus simples et les plus connues sont : en optique, le trajet de réfraction suivi par la lumière dans un prisme (principe de Fermat) ; en dynamique, la courbe brachistochrone (courbe la plus rapide suivie par une bille pesante pour aller d’un point à un autre) ; en statique, la courbe de la chaînette (forme prise par un fil sous son propre poids). Détaillons ce dernier exemple (8). On cherche dans le plan vertical x, z une courbe z(x) qui minimise l’action (ici l’intégrale de l’énergie potentielle due à la pesanteur). Pour un morceau de corde (de masse volumique μ) de longueur dl, on a :
dl² = dx² + dz² = dx² (1 +
²)
L’énergie potentielle dépend de l’ordonnée verticale z du morceau de corde dl :
dV = μg*z*dl
L’action à minimiser est
= ∫ μg*z*dl =∫ μg
Appliquons au lagrangien
=
, l’équation d’Euler-Lagrange. On a
(1) et
On calcule
(2) En égalant (1) & (2), on a :
, équation différentielle qu’on résout comme suit. On dérive une fois :
soit
soit 
, où K² est une constante positive (compte tenu des conditions aux limites). On reconnaît l’équation ayant pour solution un cosinus (ou un sinus) hyperbolique, et donc une chaînette (9) ; en effet en multipliant par
, on résout en
.

Figure 3 : La courbe de la chaînette, qui peut être déduite du principe de moindre action (Image WikiCommons Kamel15)
la polémique créée à Berlin par Johann König
Même si Euler avait déjà formulé une forme de principe de moindre action, en 1744, à la fin de son ouvrage Methodus inveniendi lineas curvas …, pour le cas particulier d’un système soumis à des forces centrales, il prend dans cet article fait et cause pour Maupertuis, attaqué par le scientifique allemand, Johann Samuel König (1712-1757). Celui-ci contestait ce principe, tout en l’attribuant à son compatriote Leibniz. Cette querelle célèbre dans l’histoire des sciences avait pour théâtre l’Académie des sciences de Berlin, alors présidée par Maupertuis, auquel Frédéric II avait proposé ce poste, sur les conseils de Voltaire.

Figure 4 : Frédéric II Le Grand (1712-1786), roi de Prusse (1740-1786) (tableau Berlin/Potsdam, Stiftung Preussische Schlösser und Gärten)
La dispute entre Maupertuis et König a pour origine la publication par ce dernier, en mars 1751 dans les Acta Eruditorum (revue créée à l’initiative de Leibniz en 1682), d’un texte qui mit le feu aux poudres : De universali principio aequilibrii et motus in vi viva reperto, deque nexu inter vim vivam et actionem, utriusque minimo, dissertatio, auctore Sam. König. König y prétendait que Leibniz avait déjà eu l’idée de ce principe, dans un papier intitulé Unicum opticae, catoptricae et dioptricae principium (dans le tout premier volume de la revue Acta Eruditorum, 1682). Leibniz y affirmait que
la cause finale suffit pour deviner quelles lois la lumière suit, car si on fait l’hypothèse que la nature a eu pour but de conduire les rayons lumineux d’un point à un autre par le chemin le plus facile, on trouve admirablement bien toutes ces lois.
Mais König citait dans son article une lettre de Leibniz dans laquelle, selon lui, le principe était formulé de façon plus précise. L’Académie de Berlin et Euler prirent la défense de Maupertuis, et demandèrent à König l’original de la lettre de Leibniz qu’il mentionnait. Or König n’en possédait qu’une copie
(10) et fut accusé d’avoir produit un faux. La dispute s’envenima lorsque Voltaire publia en 1753 la
Diatribe du docteur Akakia, médecin du pape où il défendait König et se moquait de Maupertuis et d’Euler. Le Roi Frédéric le Grand se fâcha alors avec Voltaire qu’il chassa de Prusse ; König fut exclu de l’Académie de Berlin.
Le docteur Akakia de Voltaire

Figure 5 : In-octavo de 44 pages publié en 1753.
Voltaire y raille Maupertuis, « le président d’une très illustre Académie », et Euler : Si quelque compagnon d’étude vient lui proposer avec amitié un avis différent du sien ; s’il lui fait confidence qu’il s’appuie sur l’autorité de Leibnitz et de plusieurs autres philosophes; s’il lui montre en particulier une lettre de Leibnitz qui contredise formellement notre candidat, que ledit candidat n’aille pas s’imaginer sans réflexion, et crier partout qu’on a forgé une lettre de Leibnitz pour lui ravir la gloire d’être un original. Qu’il ne prenne pas l’erreur où il est tombé sur un point de dynamique, absolument inutile dans l’usage, pour une découverte admirable. […] Que dans une misérable dispute sur la dynamique il ne fasse point sommer, par un exploit académique, un professeur de comparaître dans un mois ; qu’il ne le fasse point condamner par contumace, comme ayant attenté à sa gloire, comme forgeur de lettres et faussaire, surtout quand il est évident que les lettres de Leibnitz sont de Leibnitz, et qu’il est prouvé que les lettres sous le nom d’un président n’ont pas été plus reçues de ses correspondants que lues du public. Qu’il ne cherche point à interdire à personne la liberté d’une juste défense ; qu’il pense qu’un homme qui a tort, et qui veut déshonorer celui qui a raison, se déshonore soi-même.
Euler attaque d’emblée la position de König, qu’il qualifie d’ « inepte » (page 201). Il entreprend de mentionner un certain nombre de travaux (antérieurs à ceux de Maupertuis) plus ou moins liés au principe de moindre action (ou de moindre dépense, ou d’épargne), tout en l’attribuant sans conteste à ce dernier :
[…] qui a déterminé le véritable fonds, que la Nature épargne, non pas seulement quelquefois, mais épargne toujours, & dans toutes les opérations ? Et c’est cela que nous nions avec la plus grande justice, qu’aucun autre ait fait avant notre Ill[ustre] Président. Nous accorderons donc facilement, que plusieurs ont reconnu en général cette Loi, mais l’ont reconnue si obscurément, qu’on ignorait entièrement ce que c’est que la Nature épargne.
Apparaît ensuite sous la plume d’Euler la dénonciation d’un sophisme fort utilisé dans les querelles de paternité :
Mais il n’y a personne contre qui nous dussions avoir moins cette dispute à soutenir que contre M. le Professeur König, qui nie hardiment qu’il y ait dans la Nature une telle Loi universelle, et qui pousse l’ineptie jusqu’à se moquer du Principe d’Epargne […] D’où l’on voit que M. König ne peut refuser à notre Président [Maupertuis] la découverte de ce Principe, qu’il juge faux [p. 201] C’était une adresse singulière de M. König : aux uns il voulait faire croire que le Principe de M. de Maupertuis était une chimère ; à ceux qu’il n’aurait pas pu persuader, il voulait faire croire que le Principe était de Leibniz. Il n’a pas mieux réussi pour l’un que pour l’autre [p. 210]
C’est sans doute – à notre connaissance – une des premières fois dans l’histoire des sciences où ce type de sophisme est dénoncé, ici par Euler. Ce sophisme continuera néanmoins à faire florès : On peut fort justement affirmer la validité de la théorie de la relativité et l’attribuer à Einstein ou a Poincaré, mais certains contestent la validité de la théorie de la relativité tout en l’attribuant à un auteur autre qu’Einstein ; les créationnistes géocentristes contestent l’héliocentrisme de Galilée tout en l’accusant de plagiat des Grecs anciens, comme Aristarque qui avait imaginé que la Terre puisse tourner autour du Soleil."
@@@@@@@
Euler résume la controverse entre René Descartes (1596-1650) et Pierre de Fermat (160 ? – 1665) concernant la réfraction des rayons lumineux – sujet en lien direct avec le principe de moindre action. En 1637, Descartes publie son
Discours de la Méthode dont une annexe est la
Dioptrique où il établit sa théorie et sa loi de la réfraction. Le censeur royal de la publication M. Beaugrand ayant diffusé les écrits de Descartes à quelques savants, dont Fermat, ce dernier adressa une lettre à Marin Mersenne (1588-1648) pour lui indiquer ses réserves vis à vis de la théorie de Descartes. Bien évidemment il n’évoqua pas son principe du minimum temporel du trajet lumineux dans cette lettre puisqu’il ne le fit connaître qu’en 1662, après que Descartes fût mort, dans une lettre à Marin Cureau de la Chambre (1594-1669). Mais Fermat contestait déjà l’idée de Descartes selon laquelle la vitesse de la lumière était plus rapide dans les milieux denses que dans l’air. Or Descartes déclarait aussi que la vitesse de la lumière est infinie
(11). La verve d’Euler n’épargne pas cette contradiction chez Descartes :
Cette controverse […] doit paraître d’autant plus surprenante, que Descartes établissait que la lumière parvenait dans l’instant aux plus grandes distances [NdA : avait une vitesse infinie], ce qui ne pouvait s »accorder à l’idée de vitesse : rechercher donc lequel de l’air ou du verre les rayons traversaient le plus vite était une question ridicule.
Finalement, Euler reproche essentiellement à Descartes de ne pas adopter le principe métaphysique des causes finales selon lequel « la nature agit toujours par les voies les plus simples et les plus courtes », alors que c’est le point de départ du principe de Fermat. Euler ajoute, toujours en défense de Maupertuis, que le principe de Fermat est moins fort que celui de la moindre action car il ne s’applique qu’à l’optique.

Figure 6 : Le fameux problème du maître-nageur. Le sauveteur, qui court plus vite sur le sable qu’il ne nage dans l’eau, ne doit emprunter aucun des trajets gris (que ce soit la ligne droite ou le maximum de course sur la plage), mais le trajet vert. Ce problème est assimilable à celui de la réfraction, et peut se résoudre de diverses manières, dont l’utilisation du principe de moindre action (image WikiCommons Jan Sende)
@@@@@@@
Euler s’attaque ensuite à l’article de 1682 de Leibniz (cité plus haut). Ce dernier est certes un adepte du principe métaphysique (comme Fermat et Maupertuis) ; mais il commet la même erreur que Descartes concernant la vitesse de la lumière dans les matériaux denses. De plus, Leibniz n’estime pas que la route de la lumière soit la plus courte ou la plus rapide : il considère que c’est « la route la plus facile », tenant compte de la « résistance » des milieux traversés – ce qui fait écrire à Euler :
[…] quoique Leibniz semble vouloir considérer ce Principe de la route la plus facile comme universel, cependant il ne l’a jamais appliqué à aucun autre cas, ni enseigné comment dans d’autres cas cette difficulté, qu’il fallait en faire un Minimum, devait être estimée. S’il dit comme ici que c’est le produit de la route décrite multipliée par la résistance, dans la plupart des cas il sera absolument impossible de définir ce qu’on doit entendre par la résistance, qui est un terme très vague ; & lorsqu’il n’y aura aucune résistance, comme dans le mouvement des Corps célestes, comment cette difficulté doit-elle être estimée ?
Cette notion de résistance chez Leibniz paraît en effet fort mal définie aux yeux d’Euler, qui insiste :
Mais quand nous admettrions […] le raisonnement de Leibniz, par lequel il veut prouver qu’une plus grande résistance augmente la vitesse, personne ne pourra cependant jamais croire que dans tout mouvement il arrive que la vitesse croisse avec la résistance ; y ayant dans la Nature une infinité d’exemples où le contraire saute aux yeux & où la résistance diminue avec la vitesse. C’est donc par un pur hasard qu’il arrive ici que le Principe du chemin le plus facile s’accorde avec celui de la moindre action.
On voit que les objections d’Euler sont nombreuses – presque redondantes – et fondées : caractère prétendument universel, mais sans exemple autre que la réfraction donné par Leibniz ; introduction d’une notion mal définie de résistance – et soupçon par Euler du caractère ad hoc de cette notion ; caractère généralement non conforme à l’expérience du rôle que Leibniz fait jouer à la résistance.
Leibniz ou Maupertuis ?
Dans son livre intitulé
La logique de Leibniz (12), le philosophe et logicien Louis Couturat (1868-1914), spécialiste de Leibniz, revient sur cette querelle et considère que « l'opinion unanime des savants d'aujourd'hui est favorable à l'authenticité de la lettre contestée ».
Il ajoute que Leibniz précise, à propos de la force vive des corps en mouvement (dont la formule est mv²), que « le temps n'y fait rien », à l’inverse de l’action à propos de laquelle Leibniz indique :
Mais l'Action n'est point ce que vous pensez ; la considération du temps y entre : elle est comme le produit de la masse par l'espace et la vitesse, ou du temps par la force vive. J'ai remarqué que, dans les modifications des mouvements, elle devient ordinairement un Maximum ou un Minimum : on en peut déduire plusieurs propositions de grande conséquence : elle pourrait servir à déterminer les Courbes que décrivent les Corps attirés à un ou plusieurs Centres […]
(13)
Et Couturat d’opiner comme suit :
Tel est le paragraphe que König avait cité, et sur lequel il s'appuyait pour attribuer à Leibniz l'invention du principe de la moindre action, non sans raison, nous semble-t-il ; car, d'une part, l'authenticité de la lettre paraît incontestable ; et, d'autre part, le principe y est formulé explicitement, et l’action y est mathématiquement définie comme dans d'autres ouvrages sans contredit de Leibniz. II est vrai que l'énoncé du principe est incomplet, en ce qu'il ne comprend pas la condition de valabilité du principe, à savoir la constance de l'énergie (en particulier, de la force vive). Mais ni Euler ni Maupertuis n'avaient non plus découvert cette condition nécessaire, et c'est pourquoi ils n'avaient pu trouver la démonstration générale du principe. C'est à Lagrange qu'était réservé cet honneur. Il envoya à l'Académie de Berlin un mémoire sur le fameux principe (7 mai 1756), ce qui le fit élire membre de l'Académie quelques mois après ; et en 1760, il formula et démontra analytiquement le principe
(14).
Couturat a sans doute raison de souligner que Leibniz possédait une définition correcte de l’action, voire du principe de moindre action lui-même ; mais il ne le mathématisait pas (ce que Maupertuis ne fait pas non plus). Il ne le considérait pas non plus dans sa plus grande généralité (ce que souligne Euler) : à cet égard, l’approche de Maupertuis apparaît comme une des premières recherches d’universalité en physique. En outre, Leibniz dans son article de 1682 sur l’optique et la réfraction commettait la même erreur que Descartes à propos de la vitesse de la lumière dans les matériaux denses. Il considérait aussi que la route la plus facile tient compte de la résistance des milieux traversés, ce qui, comme le souligne Euler, est sans conteste un concept erroné.
Mai 2012

(1) 7, 1753, pp. 199-218. (Eneström 198)
(2) Berlin, Michaelis, 1753, pp. 1-36. (Eneström 186)
(3) Histoire de l’Académie Royale des sciences, Paris, 1742, pp. 170-176.
(4) Essai de Cosmologie, Amsterdam, 1750. Leyde, 1751, page XIX.
(5) La Science et l’hypothèse, Flammarion, 1908, p. 251.
(6) cf. J-L. Basdevant, Principes variationnels et dynamique, Vuibert, 2005 ; F. Martin-Robine, Histoire du principe de moindre action, Vuibert, 2006.
(7) cf. E. Mach, Die Mechanik in ihrer Entwicklung, chapitre III, § 8.
(8) La résolution de cet exemple est tirée de Basdevant, op. cit. p. 35. Nous remercions J.-L. Basdevant des quelques éléments complémentaires qu’il a bien voulu partager avec nous.
(9) Pour les développements historiques et mathématiques de Leibniz sur la chaînette (1691), voir l’article d’Olivier Keller, « Le calcul différentiel de Leibniz appliqué à la chaînette », BibNum, mars 2009 (lien).
(10) Lettre du 16 octobre 1707 de Leibniz, reproduite dans Opera Omnia d’Euler, tome II, 5, p. 264. Elle a aussi été reproduite dès 1753 dans le Maupertuisiana, 2 vol. in-8, Hambourg.
(11) Voir Thibaut Gress, « Les premiers livres de La Dioptrique de Descartes », BibNum, avril 2012 (lien).
(12) Paris, Alcan, 1901, pp. 577-581, 1901.
(13) Lettre de 1707 de Leibniz (cf. note de bas de page 10 ci-dessus), citée par Couturat, op. cit.
(14) Couturat, op. cit., p.580-581. Concernant Lagrange, sa publication date de 1788 (Mécanique analytique).