
(image Fondation Nobel)
Paul Adrien Maurice Dirac (1902-1984) est né au Royaume-Uni à Bristol, deuxième de trois enfants d'un immigré suisse, professeur de français à l'université. Il étudie d'abord le génie électrique à l'Université de Bristol, puis s'oriente vers les mathématiques pures qu'il étudie à St. John's College, Cambridge, où il obtient le doctorat en 1926 et est nommé professeur quatre ans plus tard.
Dans sa thèse de doctorat, Dirac montre que les deux formalismes de la physique quantique, la mécanique matricielle d'Heisenberg et la mécanique ondulatoire de Schrödinger, sont équivalentes. Deux années plus tard, en essayant d'introduire la relativité restreinte dans la mécanique quantique, il postule l'équation qui porte son nom, qui décrit le spin de l'électron et prédit le positron, l'antiparticule de l'électron.
Autres contributions fondamentales de Dirac : le monopole magnétique, qui permet d'expliquer la quantification de la charge électrique et qui n'a pas encore été détecté par des expériences ; la statistique quantique des fermions, appelée Fermi-Dirac ; le premier formalisme mathématique de la théorie quantique des champs. Dirac reçoit le Prix Nobel de physique en 1933.
Une onde qui n'a pas d'équation ?
En 1905, pour expliquer l'effet photoélectrique (l'émission d'électrons par la lumière, phénomène à la base du fonctionnement des cellules photovoltaïques), Albert Einstein émet une hypothèse audacieuse : la structure de la lumière elle-même est discrète, c'est-à-dire formée de corpuscules appelés photons. La lumière, qu'on associait depuis des siècles à un comportement ondulatoire, a aussi un comportement corpusculaire, comme les particules.
En 1923, Louis de Broglie émet une autre hypothèse troublante, réciproque de la précédente : toute particule en mouvement a un comportement ondulatoire ; de Broglie leur associe une onde.
Une histoire qui circule dans la communauté des physiciens raconte que, quand dans un séminaire, Erwin Schrödinger a exposé l'hypothèse de De Broglie, le physicien Peter Debye s'est exclamé : « Qu'est-ce que c'est que cette onde qui n'a pas d'équation ? ». En effet, en général, les physiciens posent d'abord des équations, puis ils cherchent à les résoudre. Dans ce cas, au contraire, de Broglie a postulé l'existence d'une onde sans en avoir d'abord posé l'équation. À la suite de ce séminaire, après quelques mois de travail, Schrödinger propose en 1925 une équation pour ces ondes, posant ainsi les bases de la mécanique ondulatoire.
Mais l'équation de Schrödinger ne prend pas en compte la théorie de la relativité, qui est pourtant alors bien connue. Dans cette équation, l'espace et le temps n'interviennent pas de la même manière : le terme du temps est linéaire alors que celui de l'espace est quadratique.

Équation de Schrödinger : l'évolution temporelle de la fonction d'onde ψ (décrivant une particule quantique libre) est proportionnelle à sa dérivée seconde ; m étant la masse de la particule, i le nombre imaginaire et h la constante de Planck (voir l’appendice mathématique).
En effet, pour trouver la forme mathématique de l'équation, Schrödinger a d'abord utilisé des formules relativistes (où le temps et l'espace sont tous deux quadratiques) mais cette voie le mena dans une impasse : les valeurs des niveaux d'énergie de l'atome d'hydrogène calculées avec cette équation relativiste ne correspondaient pas aux résultats expérimentaux. Il recommence alors ses recherches à partir des formules classiques newtoniennes, cette fois-ci les calculs sont plus en accord avec les résultats expérimentaux. Mais ce n'était qu'une coïncidence fortuite ! En effet, son équation relativiste initiale ne prenait pas en compte le spin de l'électron, qui venait tout juste d'être découvert. Or le spin confère à l'électron un moment magnétique. Ce dernier interagit avec le champ magnétique que l'électron subit dans son mouvement autour du noyau, ce qu'on appelle l'interaction spin-orbite, et par conséquent modifie les niveaux d'énergie. Par une heureuse coïncidence, les effets de l'interaction spin-orbite et les effets relativistes sont de sens contraires et se compensent partiellement, si bien qu'en traitant le problème classiquement (de manière non relativiste) et en négligeant le spin de l'électron, on obtient des résultats en accord avec l'expérience.
L'équation de Dirac
Quand, au congrès Solvay de 1927 Niels Bohr demande à Dirac sur quoi il travaille, ce dernier lui répond : "j'essaie d'obtenir une théorie relativiste de l'électron". "Mais Klein a déjà résolu ce problème !", s'exclame Bohr
(1). Dirac n'était pas tout à fait d'accord. Effectivement, Schrödinger n'était pas le seul à chercher une équation relativiste pour l'électron : en 1927, cinq autres articles sont publiés sur ce sujet, dont ceux d'Oskar Klein (1894-1977), Vladimir Fock (1898-1974) et Walter Gordon (1893-1939)
(2). Mais l’équation dite de Klein-Gordon admettait certaines solutions dont l'énergie était négative, ce qui conduisait à des densités de probabilité négatives, ce qui, du point de vue de Dirac, était inacceptable
(3). Le "coupable" était le terme du temps, qui intervenait de manière quadratique (c'est-à-dire avec un facteur

). Alors pourquoi ne pas chercher une équation dont les termes de l'espace et du temps soient linéaires ?
En 1928, Dirac y parvient mais au moyen de concepts nouveaux : son équation n'agit plus sur une fonction d'onde à une seule composante, comme c'était le cas de l'équation de Schrödinger, mais sur une fonction d'onde à quatre composantes, appelée spineur. L'équation de Dirac interconnecte les composantes du spineur en faisant intervenir des matrices de quatre lignes et quatre colonnes qui ne commutent pas. Cela revient à écrire quatre équations de type Schrödinger ayant chacune des termes différents mais couplés par ces matrices.

L'équation de Dirac, fait intervenir le temps et l'espace symétriquement, de manière linéaire. En revanche, il faut introduire les matrices de 4 lignes et 4 colonnes α et β , la fonction d'onde ψ a donc 4 composantes. La présence de la vitesse de la lumière c montre qu'il s'agit d'une équation relativiste (voir l’appendice mathématique)
Le problème des densités de probabilité négative est donc résolu. En cherchant des solutions, Dirac trouve qu'elles décrivent correctement les électrons et leur spin. Au cas limite où les vitesses des particules sont petites par rapport à celle de la lumière, on retrouve l'équation de Schrödinger. De plus, la constante de structure fine, le moment magnétique de l'électron et l'interaction spin-orbite apparaissent naturellement
(4).
Mais, à côté des ces succès, de nouveaux problèmes apparaissent. Pour décrire le spin de l'électron, une fonction d'onde à deux composantes suffit, alors que faire des deux autres ? De plus, outre les solutions décrivant l'électron, il existe d'autres solutions dont les énergies sont négatives !
Cela jeta la confusion parmi les physiciens. Heisenberg déclarera plus tard qu'avant l'équation de Dirac, il avait l'impression que, concernant la théorie quantique, la communauté des physiciens avait trouvé son havre. L'article de Dirac les rejeta au large
(5).
La théorie des trous de Dirac
(6)
Dans son article de 1928, Dirac souligne les deux difficultés de l'équation de Klein-Gordon : densité de probabilité négative et énergies négatives. Il s'attaque alors à la première et la résout, remettant la seconde à plus tard. En effet, Dirac n'a pas encore d'idée claire sur cette question, il montre que les solutions d'énergie négative correspondent à des électrons qui auraient une charge électrique positive et préconise alors de les rejeter comme étant non physiques :
On account of the matrices … containing four rows and columns, it will have four times as many solutions as the non-relativity wave equation, and twice as many as the previous relativity wave equation. Since half of the solutions must be rejected as referring to the charge +e on the electron, the correct number will be left to account for duplexity phenomena
(7).
Mais six mois plus tard, lors d'un congrès à Leipzig, il n'est plus question de les rejeter ("leave to account"). Dans une lettre à Oskar Klein, Dirac déclare qu'il n'a pas avancé dans la résolution du problème des solutions négatives et Heisenberg pense que ce problème ne sera pas résolu tant qu'on ne disposera pas d'une théorie qui traite en même temps les électrons et les protons. En août 1929, Dirac et Heisenberg s'embarquant à San Francisco à destination du Japon où ils doivent participer à une conférence, font une escale à Hawaii. En voyage, ils ne discutent pas physique, chacun souhaitant profiter des vacances
(8). Pendant ce temps, Hermann Weyl publie un article où il suggère que les électrons d'énergie négative pourraient représenter les protons
(9).
@@@@@@@
Dirac commence son article de 1930 (texte BibNum) ainsi :
The relativity quantum theory of an electron moving in a given electromagnetic field, although successful in predicting the spin properties of the electron, yet involves one serious difficulty … connected with the face that the wave equation, which is of the form … has, in addition to the wanted solution for which the kinetic energy of the electron is positive, an equal number of unwanted solutions with negative kinetic energy for the electron, which appear to have no physical meaning.
Quelques lignes plus loin, il ajoute :
The difficulty is not a special one connected with the quantum theory of the electron, but is a general one appearing in all relativity theory, also in the classical theory.
et il donne l'exemple de l'équation Klein-Gordon. Comme l'énergie intervient de manière quadratique, l'équation admet deux classes de solutions, les unes dont les valeurs de l'énergie sont positives, les autres négatives et qui sont séparées par un "gap" égal à 2mc2, m étant la masse de l'électron. Dans le cas classique, on peut purement et simplement rejeter les solutions négatives, mais dans le cas quantique, des transitions peuvent avoir lieu entre ces états : le couplage avec le champ électromagnétique fait qu'un électron d'énergie positive peut franchir le "gap" et tomber dans un état d'énergie négative, ce processus étant accompagné d'une émission de photons. Dirac conclut :
Thus we cannot ignore the negative-energy states without giving rise to ambiguity in the interpretation of the theory.
Il critique la suggestion de Weyl d'identifier les électrons d'énergie négative (et de charge positive) avec les protons et montre qu'elle conduit à plusieurs paradoxes : violation de la conservation de la charge électrique, inconsistance de la loi d'attraction et répulsion des charges électriques, comportement dynamique étrange (plus on leur communique d'énergie, plus ils ralentissent).
Dirac propose alors une solution à ce problème en supposant que l'univers est constitué à la fois d'états d'énergie négative et positive. Les électrons vont alors peupler ces états, l'un après l'autre, dans l'ordre croissant de leur valeur d'énergie. Ce n'est qu'après avoir rempli complètement les états d'énergie négative que des électrons peuvent occuper des états d'énergie positive. Ces derniers sont alors les "vrais" électrons que l'on observe expérimentalement.
Les états d'énergie négative forment donc une véritable "mer" remplie d'électrons. Mais qu'est-ce qui empêche ces électrons de tous tomber dans les états d'énergie les plus bas ? Dirac invoque le principe d'exclusion de Pauli (1925) : un électron ne peut occuper qu'un seul état quantique. Les électrons sont alors obligés de peupler successivement des états de plus en plus énergétiques
(10).
The most stable states for the electron (i.e., the states of lowest energy) are those with negative energy and very high velocity. All the electrons in the world will tend to fall into these states with emission of radiation. The Pauli exclusion principle, however, will come into play and prevent more than one electron going into any one state.
Cette mer n'est pas entièrement occupée, il y reste des états libres, non occupés, qu'il appelle "états vacants" ou "trous" :
Let us assume there are so many electrons in the world that all the most stable states are occupied, or more accurately, that all the states of negative energy are occupied except perhaps a few of small velocity.
Avoir un nombre infini d'électrons d'énergie négative n'est pas gênant car ce qu'on mesure ce ne sont que des variations dans les nombres de trous :
We shall have an infinite number of electrons in negative-energy states, and indeed an infinite number per unit volume all over the world, but if their distribution is exact uniform we should expect them to be completely unobservable. Only the small departures from exact uniformity, brought about by some of the negative-energy states being unoccupied, can we hope to observe.
Par analogie avec les processus de ionisation des atomes sous l'influence des rayons X, Dirac explique l'apparition des trous et les identifie (à tort) comme étant des protons :
We are therefore led to the assumption that the holes in the distribution of negative energy electrons are the protons. When an electron of positive energy drops into a hole and fills it up, we have an electron and proton disappearing together with emission of radiation.
@@@@@@@
En effet, en 1929, on ne connaissait que deux particules élémentaires : l'électron, découvert en 1897 par Thomson, et le proton, découvert en 1918 par Rutherford : il était inconcevable d'en imaginer d'autres. On pensait que l'atome n'était constitué que d'électrons et de protons. Le neutron n'était pas encore découvert, on pensait d'ailleurs qu'il serait constitué d'une association électron-proton, qui lui garantissait une charge électrique nulle.
En identifiant les trous aux protons, la théorie de Dirac permettrait de postuler un seul type de particule à la place de deux. Mais le proton est 1836 fois plus lourd que l'électron. Comment l'expliquer ? Dirac affirme qu'il y a une nette différence entre les interactions subies par les électrons et celles subies par les trous, ce qui pourrait donner une explication plausible à la différence de masse entre ces deux particules :
The consequences of this dissymmetry are not very easy to calculate on relativistic lines, but we may hope it will lead eventually to an explanation of the different masses of proton and electron.
En effet, si on couple l'équation de Dirac au champ électromagnétique, il est facile de voir que le trou dans la mer d'énergie négative se comporte comme une particule d'énergie positive, a une masse égale à celui d'un électron et une charge électrique opposée. Alors pour expliquer la différence de masse entre l'électron et le proton, Dirac est contraint d'invoquer l'asymétrie entre les environnements où ces deux particules évoluent : alors que l'électron se trouve dans un "espace libre", le trou se trouve entouré par des électrons d'énergie négative. C'est l'interaction avec les électrons d'énergie négative qui modifierait la dynamique du trou, en particulier la valeur de sa masse (11). Cependant, il ne communique aucune donnée quantitative, probablement par manque de résultat tangible, et les laisse pour une publication à suivre. Aujourd'hui on sait qu'un tel calcul prédit une très faible dépendance de la masse par rapport à l'énergie et ne peut en aucun cas expliquer le rapport élevé entre les masses du proton et de l’électron.
La fin de l'article de 1930 traite de l'implication de la théorie des trous sur la diffusion du rayonnement par les électrons (l'effet Compton) et conduit au fait que les formules traditionnelles ne sont pas modifiées par la présence de la mer d'électrons d'énergie négative.
La théorie des trous de Dirac

(image ©3xPlus)
Les électrons d'énergie négative forment une « mer » dans laquelle tous les états sont occupés, le principe de Pauli les empêchant de tomber tous dans l'état le plus bas d'énergie. Ils sont séparés des électrons ordinaires par une région interdite. Si l'on communique à l'électron d'énergie négative une énergie suffisante pour franchir la région interdite, par exemple sous forme de photons, l'électron d'énergie négative devient un électron ordinaire et laisse dans cette mer une place vide, que Dirac interprétera plus tard comme étant le positron. Le processus inverse peut aussi avoir lieu : un électron peut s'annihiler avec le positron pour émettre de l'énergie, par exemple sous forme de photons.
Critiques faites à Dirac
La communauté physicienne a eu du mal à accepter la théorie de Dirac, surtout l'identification des trous avec les protons. Deux articles indépendants signés par Robert Oppenheimer
(12) et Igor Tamm
(13), ont montré que dans ce cas, les protons s'annihilaient avec les électrons pour donner du rayonnement électromagnétique (rayons gamma), ce qui rendrait les atomes instables. Hermann Weyl craint que la théorie de Dirac ne conduise à une nouvelle crise dans la physique quantique
(14).
Plusieurs anecdotes drôles sont apparues à ce sujet. Au sujet de la théorie de Dirac, Niels Bohr affirmait qu'elle serait toute juste bonne à servir d'appât pour capturer des éléphants en Afrique : en la lisant sur un panneau, les éléphants, qui sont des animaux intelligents, seraient envoûtés. On pourrait ainsi les capturer facilement et les envoyer au jardin zoologique. Wolfgang Pauli ayant énoncé un "seconde principe de Pauli" selon lequel tout théorie proposée par un physicien théoricien serait appliquée à son corps : s'il était appliqué à Dirac, ce dernier se désintégrerait en une fraction de seconde en rayons gamma, avant qu'il puisse énoncer sa théorie des trous
(15).
L'antimatière, une réalité
Dans un article publié en 1931, Dirac modifie son point de vue :
A hole, if there were one, would be a new kind of particle, unknown to experimental physics, having the same mass and opposite charge of the electron
(16).
et appelle cette nouvelle particule anti-électron. A propos de l'article de 1928, il déclarera plus tard :
I just didn't dare to postulate a new particle at that stage, because the whole climate of opinion at that time was against new particles
(17).
@@@@@@@
En 1932, Carl Anderson découvre que les photons de haute énergie provenant des rayons cosmiques, quand ils heurtent un écran en plomb, produisent des électrons mais aussi des particules de même masse et de charge opposée. Ces dernières peuvent s'annihiler avec des électrons pour produire, à nouveau, des photons
(18). Il semble que ces électrons positifs correspondent aux trous de la théorie de Dirac mais Anderson reste très prudent, n'ayant réussi à détecter que quelques événements. La découverte est confirmée au Cavendish Laboratory (Cambridge) par Patrick Blackett et Giuseppe Occhialini grâce à l'invention d'un détecteur plus performant
(19). La nouvelle est d'abord reçue avec scepticisme mais après quelques mois les doutes se dissipent, la théorie de Dirac est confirmée.

Figure 3 : Carl Anderson, physicien américain (1905-1991). Il reçut le prix Nobel de physique en 1936 pour la découverte en 1932 du positron, prédit par Dirac (image LBNL Lawrence Berkeley National Laboratory, 1937).
Dans un article publié peu après, Anderson appellera cette particule positron, terme qui est resté jusqu'à nos jours
(20). Le positron sera ensuite détecté en laboratoire par Irène et Frédéric Joliot-Curie, dans les processus de désintégration β
+ d'un isotope du phosphore (

)
(21).

Figure 4 :
La découverte du positron. À gauche, première photographie de la trajectoire d'un positron (le trait fin et noir en arc de cercle) dans une chambre à brouillard par C.D. Anderson. Celle-ci est divisée en deux parties par une plaque de plomb, au centre. Le positron la traverse de bas en haut, sa trajectoire dans le champ magnétique (perpendiculairement au plan de la figure) qui s'incurve davantage toujours plus indique une perte progressive d'énergie. À droite, une des chambres à brouillard utilisées par Anderson (©Health Physics Museum, Oak Ridge,
www.orau.org/ptp/museumdirectory.htm)
@@@@@@@
L'équation de Dirac s'applique non seulement aux électrons mais à toute autre particule de spin ½. Le proton devrait donc avoir une antiparticule de même masse mais de charge et spin opposés, comme l'électron. En 1955, l'équipe dirigée par Emilio Segrè (1905-1989) et Owen Chamberlain (1920-2006) découvre effectivement l'antiparticule du proton
(22), appelée antiproton. Ils utilisent le
Bevatron, le nouvel accélérateur de particules du Lawrence Berkeley National Laboratory construit spécialement pour que son énergie atteigne les 6,5 MeV, valeur seuil pour créer une paire proton-antiproton en bombardant une cible fixe avec des protons :

Une année plus tard, en 1956, au même Bevatron, l'équipe d'Oreste Piccioni et Bruce Cork réussit la mise en évidence de l'antineutron, l'antiparticule du neutron
(23).

Figure 5 : Le Bevatron. À gauche, l'accélérateur avec son blindage de blocs de béton, à droite signature d'un antiproton dans l'émulsion photographique : il entre par le haut (branche notée L), rencontre un proton, s'annihile et engendre une flopée de particules qui partent vers l'extérieur et forment cette figure en "étoile" (©Lawrence Berkeley Laboratory).
En effet, l'existence des antiparticules est une conséquence directe du mariage entre la mécanique quantique et la relativité restreinte. À toute particule on associe son antiparticule : à l'électron le positron, au proton l'antiproton, au neutron l'antineutron, au muon l'antimuon, aux quarks les antiquarks. Le photon et le pion π° sont des cas particuliers : ils sont leur propre antiparticule.
En mettant en contact une particule avec son antiparticule, le processus d'annihilation a lieu : elles se dématérialisent et se transforment en rayonnement électromagnétique, constitué de photons. Réciproquement, un rayonnement électromagnétique peut produire des paires particule-antiparticule s'il dispose d'une énergie suffisante, au moins égale à 2mc2 (m étant la masse de la particule ou de l'antiparticule). C'est de cette manière que des photons de haute énergie des rayons cosmiques ont produit des paires électron-positron dans l'expérience d'Anderson en 1932. L'énergie d'un tel photon doit donc être d'au moins 2 x 0,51 MeV et il doit traverser la plaque en plomb (ou tout autre blindage), cette dernière absorbant le recul afin de conserver la quantité de mouvement.
@@@@@@@
Un antiproton pourrait piéger dans son champ électrique un positron si ce dernier est amené suffisamment près. Les deux antiparticules forment alors un atome d'anti-hydrogène, le plus simple élément d'antimatière. Bien que le principe soit simple, l'expérience reste très difficile. Il faut ralentir les antiprotons et les conserver dans un anneau de stockage isolé de tout contact avec la matière. En traversant le champ électrique d'un noyau lourd, un antiproton pourrait céder une partie de son énergie cinétique pour produire une paire électron – positron
(24), puis piéger ce dernier afin de former un atome d'anti-hydrogène. Il a fallu attendre 1995 pour que l'expérience LEAR (Low Energy Anti-Proton Ring) au CERN (Centre Européen de la Recherche Nucléaire) puisse permettre de réaliser cet exploit
(25).

Figure 6 : L'expérience LEAR. À gauche le schéma : les antiprotons sont maintenus par des aimants dans l'anneau de stockage. Dans la centrale de production (en rouge), ils traversent un flux de xénon et certains d'entre eux s'annihilent pour donner des positrons. Parmi ces derniers, certains sont piégés par des antiprotons pour former ainsi des atomes d'anti-hydrogène. Ceux-ci s'annihilent au niveau du compteur et produisent du rayonnement gamma qui est mesuré par le détecteur. À droite photo de l'installation. (© CERN)
Pourquoi produire de l'anti-hydrogène ? Les axiomes de base du formalisme mathématique de la physique des particules d'aujourd'hui, appelé théorie quantique des champs, impliquent que les lois de la physique restent les mêmes si on fait simultanément les transformations suivantes : inversion du sens du temps (opération notée par T), inversion des directions de l'espace (noté P comme parité) et remplacement de toutes les particules par leurs antiparticules (noté C et appelée conjugaison de charge). C'est le théorème CPT=1, dont la conséquence directe est que chaque antiparticule doit avoir la même valeur de masse que sa particule, alors que ses charge et moment magnétique doivent être de même valeurs absolues mais de signes opposés. Ces propriétés peuvent être testées en mesurant certaines caractéristiques de l'anti-hydrogène (par exemple le spectre électromagnétique ou la chute en champ gravitationnel) et en les comparant avec celles de l'hydrogène. Ces expériences nécessitent donc de manipuler de l'antimatière et sont cruciales pour valider les théories : un résultat négatif pourrait produire un véritable cataclysme en physique théorique.
Limites de la théorie de Dirac
La mécanique quantique relativiste a connu un grand succès en expliquant le spin des particules et l'existence des antiparticules, mais elle ne décrit que les phénomènes où le nombre de particules ne varie pas. Elle ne peut pas décrire les processus dans lesquels des particules apparaissent ou disparaissent, par exemple l'annihilation matière-antimatière. On a donc cherché un formalisme mathématique capable de prendre en compte ces phénomènes. Paradoxalement, il a été formulé pour la première fois par Dirac en 1927, avant la prédiction de l'antimatière, et porte le nom de théorie quantique des champs
(26).
Dans le langage de la théorie quantique des champs, le processus d'annihilation entre un positron et un électron (e+ + e– → 2γ) est décrit en faisant intervenir trois champs quantifiés : un qui décrit les électrons, un qui décrit les positrons et un qui décrit les photons. L'électron a une énergie donnée, la fréquence du mode d'oscillation du champ qui lui correspond est égale à cette énergie divisée par la constante de Planck. Il en est de même pour le positron et pour les photons.
Initialement, le mode d'oscillation des électrons et celui des positrons sont tous deux sur le premier état excité, celui des photons se trouve à l'état fondamental (voir figure ci-après). Il y a donc initialement un électron, un positron et zéro photon. Quand l'électron et le positron s'annihilent, le mode d'oscillation de l'électron et celui du positron passent du premier état excité à l'état fondamental, celui du photon passe alors de l'état fondamental au deuxième état excité. Il y a donc zéro électron, zéro positron et deux photons. L'énergie est conservée : l'énergie des photons émis est égale à la somme des énergies de l'électron et du positron.

Figure 7 : Annihilation e+ e- → 2γ. À gauche, le mode d'oscillation des électrons et celui des positrons sont tous deux dans le premier état excité, celui des photons se trouve dans l'état fondamental, il y a donc initialement un électron, un positron et zéro photon. À droite, quand l'électron et le positron s'annihilent, le mode d'oscillation de l'électron et celui du positron passent du premier état excité à l'état fondamental, celui du photon passe alors de l'état fondamental au deuxième état excité. Il reste donc finalement zéro électron, zéro positron et deux photons (images ©3xPlus)
On peut voir que la théorie quantique des champs traite de façon symétrique les particules et les antiparticules. On ne fait plus appel à la « mer » de Dirac pour décrire les antiparticules, celle-ci n'est d'ailleurs plus mentionnée dans les cours modernes de physique théorique car elle risque de créer des confusions chez les étudiants.
En revanche, l'équation de Dirac, ainsi que celle de Klein-Gordon restent valables. Mais elles ne s'appliquent plus à des fonctions d'onde, décrivant un nombre fixe de particules, mais seulement à des champs, qui permettent de prendre en compte un nombre variable de ces particules. L'équation de Dirac décrit la dynamique des champs de particules de spin ½, celle de Klein-Gordon celui des champs de particules de spin 0 (scalaires).
L'électrodynamique quantique
Les concepts de la théorie quantique des champs peuvent être appliqués pour décrire l'interaction électromagnétique qui s'exerce entre les particules chargées électriquement comme les électrons et les positrons. Cette théorie, dite de l'électrodynamique quantique, est le fruit d'un long travail qui commence en 1927 avec Dirac et est achevé en 1949 par Julian Schwinger, Richard Feynman et Sin-Itiro Tomonaga. Conformément à l'électrodynamique quantique, les interactions entre les particules chargées peuvent être décrites comme une combinaison de trois processus élémentaires : émission ou absorption d'un photon par un électron ou un positron ; propagation d'un photon virtuel ; propagation d'un électron ou positron virtuel. À chacun de ces processus élémentaires, on associe certaines règles de calcul. En les combinant comme des pièces de lego, on peut alors traiter toute interaction entre des particules chargées et faire des prédictions quantitatives.

Figure 8 : Diagrammes de Feynman. Les trois processus élémentaires nécessaires pour décrire tout processus de l'électrodynamique quantique : le premier représente l'émission ou l'absorption d'un photon par un électron (ou positron), le deuxième la propagation d'un photon virtuel, le troisième la propagation d'un électron (ou positron) virtuel. (©3xPlus)
Ainsi l'interaction entre deux électrons est décrite comme un échange de photons virtuels et est constituée, en première approximation, de trois processus élémentaires : l'un des électrons émet un photon virtuel, le photon se propage puis est absorbé par l'autre électron. Le premier et le dernier processus sont chacun proportionnels à la charge de l'électron, le deuxième est inversement proportionnel à la distance qui sépare les électrons (qui sont au repos). Cela permet de retrouver la formule bien connue du potentiel de Coulomb U = e²/r.

Figure 9 : Interaction électromagnétique entre deux électrons. Le diagramme de gauche conduit à la formule du potentiel de Coulomb, celle de droite, apporte une légère correction. (©3xPlus)
Dans une deuxième approximation, un diagramme supplémentaire doit être ajouté pour décrire l'interaction entre les deux électrons : le photon pourrait se matérialiser en une paire électron-positron, qui à son tour s'annihile pour redonner le photon, ce qui apporte une légère correction à la loi de Coulomb. D'autres diagrammes doivent être ajoutés si on souhaite traiter les corrections d'ordre supérieur. Des mesure très précises peuvent mettre en évidence ces corrections, par exemple celle du moment magnétique de l'électron ou de certains niveaux d'énergie de l'atome d'hydrogène. Les valeurs calculées par la théorie et celles mesurées concordent jusqu'au 11e chiffre après la virgule, qui fait de l'électrodynamique quantique une des théories les plus précises.
Antimatière et cosmologie
Si la matière et l'antimatière jouent des rôles symétriques, pourquoi sommes-nous constitués de matière ? Nous aurions aussi bien pu être constitués d'antimatière et nos propriétés être exactement les mêmes en vertu de l'invariance des lois de la physique par rapport à la symétrie CPT.
Les observations astronomiques montrent que dans l'Univers observable, il n'existe pas d'endroit ou la matière coexiste avec l'antimatière. Si cela avait été le cas, on aurait dû observer le rayonnement produit en grandes quantités par le processus d'annihilation. On peut donc conclure qu'au moins l'Univers observé est constitué entièrement de matière.
Les observations astronomiques montrent aussi que le rapport entre le nombre de protons et celui de photons est de 10-9, de même que celui entre électrons et photons. Cela veut dire que dans le passé lointain de l'Univers, la matière aurait coexisté avec l'antimatière mais aurait été plus importante d'un facteur de 109. Par des processus d'annihilation, les antiparticules auraient alors complètement disparu, une particule sur 109 aurait survécu et les autres particules auraient produit des photons.
La théorie du Big Bang, largement acceptée aujourd'hui, ainsi que la physique des particules apportent quelques précisions. À la suite de l'explosion primordiale, l'Univers se trouve dans une phase d'expansion. Sa température décroît alors. Une microseconde après le Big Bang, la température devient suffisamment basse pour que les quarks, les anti-quarks et les gluons se lient pour former les hadrons, en grande partie des protons, antiprotons, pions. Les protons et les antiprotons s'annihilent mutuellement pour donner des photons, ces derniers n'ont pas une densité suffisante pour récréer les paires protons-antiprotons. À la fin de cette phase, tous les antiprotons ont été annihilés mais un proton sur un milliard a survécu. Une seconde après le Big Bang, un processus analogue concerne les électrons et positrons. Cette fois-ci, les positrons sont décimés, il ne reste qu'un électron sur un milliard.
@@@@@@@
Il faut trouver une explication à cette asymétrie de 10-9. Par ailleurs, pourquoi le nombre de protons est-il égal à celui d'électrons alors qu'ils ont survécu à deux processus distincts ?
Un des premiers éléments de réponse a été apporte par Andrei Sakharov (1921-1898). Pour engendrer un déséquilibre entre matière et antimatière, il faut respecter trois conditions : les interactions doivent violer CP (conjugaison de charge et parité) ainsi que C, violer le nombre baryonique (égal à la différence entre le nombre des baryons et le nombre de leurs antiparticules) et le processus ne doit pas être en équilibre thermodynamique. L'interaction faible viole C et CP, l'Univers en expansion n'est pas en équilibre thermodynamique. Pour satisfaire la violation du nombre baryonique, il faut faire appel aux Théories de Grande Unification (GUT) où les leptons et les quarks sont regroupés. Cependant, ces modèles construits à base des GUT ne sont entièrement satisfaisants : ils ne sont pas compatibles avec l'hypothèse inflationniste de l'Univers.
Une autre possibilité est qu'il y ait autant de matière que d'antimatière. Il doit alors exister des régions d'antimatière mais en dehors de l'Univers observable. Du fait de l'inflation, la région limite entre matière et antimatière se trouverait si éloignée que le rayonnement engendré par les processus d'annihilation ne serait pas encore arrivé sur Terre. La matière et l'antimatière gardent donc encore une bonne part de leurs mystères.
Applications pratiques de l'antimatière
Les accélérateurs de particules produisent des particules de haute vitesse, les projettent sur une cible et mesurent leur diffusion pour scruter la structure intime de la matière. Si l'énergie cinétique est suffisamment grande, la collision peut produire des nouvelles paires particule-antiparticule. C'est de cette manière qu'on a découvert l'antiproton et l'antineutron (cf. supra).
L'efficacité de la collision peut être nettement améliorée en remplaçant le flux de particules projectiles et la cible fixe par deux faisceaux, l'un formé de particules, l'autre d'antiparticules, se déplaçant en sens contraires. Ces collisions frontales permettent une meilleure utilisation de l'énergie dont une bonne partie était dissipée par le recul de la cible fixe. L'annihilation particule-antiparticule des deux faisceaux ajoute de l'énergie disponible pour la production de nouvelles paires. Enfin, du fait de leurs charges opposées, les deux faisceaux peuvent circuler dans la même cavité. C'est pourquoi des collisionneurs particule-antiparticule ont été construits. Ils ont permis de découvrir de nouvelles particules.
Tout d’abord, c'est au collisionneur d'électron - positron du SLAC (Stanford) qu'on a découvert en 1974 le quark charmé et en 1977 le lepton tau. Le collisionneur proton – proton SPS (CERN) a permis de mettre en évidence en 1983 des bosons vectoriels W et Z, responsables de l'interaction faible, et celui du Fermilab de détecter en 1995 le quark top.

Figure 10 : Le collisionneur Large Hadron Collider (CERN). À gauche, schéma de principe. Les protons sont injectés à partir de l'accélérateur SPS (petit cercle) dans deux cavités circulaires adjacentes (grand cercle) et forment ainsi deux faisceaux, qui circulent dans des sens contraires et se croisent au niveau des quatre détecteurs qui enregistrent les résultats des collisions. À droite, le tunnel du LHC. (©CERN)
Ensuite, le collisionneur électron-positron LEP (CERN) a permis de nombreux tests du Modèle Standard de la physique des particules. Il a été remplacé récemment par le LHC (Large Hadron Collider) qui effectue des collisions proton-proton. En fait, l'énergie communiquée par un collisionneur à une particule chargée est limitée par les pertes de rayonnement, inhérentes à la trajectoire circulaire. Le proton, presque deux mille fois plus lourd que l'électron, peut emmagasiner plus d'énergie. En revanche, le proton n'étant pas une particule élémentaire mais étant composé de quarks, les collisions ne sont pas aussi "propres" que les collisions électron-positron. Enfin, pour obtenir des faisceaux plus intenses, on a dû renoncer aux antiprotons, difficiles à produire en grand nombre. Ne pouvant pas tirer partie des charges opposées particule-antiparticules, il a fallu construire séparément deux cavités accélératrices. Le choix du type de collisionneur dépend de la technologie disponible et fait intervenir un équilibre subtil entre avantages et compromis. Les prochains collisionneurs seront probablement linéaires afin d'éviter les pertes par rayonnement.
@@@@@@@
L'antimatière intervient dans une des techniques d'imagerie médicale, appelé tomographie à paires électron-positron, ou à émission de positrons (PET). On injecte dans le flux sanguin du patient des traceurs, substances biologiques intégrant dans leur structure moléculaire des isotopes faiblement radioactifs comme par exemple 11C, 13N, 15O ou 18F, qui, par désintégration bêta, émettent des positrons. Le positron s'annihile rapidement avec un électron et émet deux photons, qui se propagent dans des directions opposées. Les photons sont détectés simultanément par deux détecteurs. Pas tout à fait simultanément car ils ont parcouru des distances légèrement différentes que l'on peut évaluer en mesurant le court laps de temps entre les deux détections, ce qui permet de trouver l'endroit où l'annihilation a eu lieu.
Bien que la résolution soit moins bonne (le positron peut voyager des distances de l'ordre du millimètre avant annihilation) que celle d'autres techniques d'imagerie comme la tomographie à rayons X ou par résonance magnétique, la tomographie PET reste très utilisée car elle donne des informations sur le flux sanguin – elle permet donc des mesures dynamiques. En particulier, les tissus cancéreux, fortement vascularisés, peuvent être détectés à l'aide de traceurs à base de glucose intégrant du 18F.

Figure 11 : Tomographie à paires électron-positron. À gauche, le schéma de principe. Le positron, émis par le traceur radioactif, s'annihile avec un électron pour donner une paire de photons se propageant dans des directions contraires. La mesure des temps de propagation, mesurés par le détecteur en coïncidence, permettent de localiser l'annihilation. À gauche, une installation de tomographie PET. (©wikipedia)
@@@@@@@
D’autres applications pourraient être imaginées, notamment dans le domaine de l’énergie. En libérant brutalement de l'antimatière, on pourrait engendrer une explosion, l'énergie par particule produite par l'annihilation d'une paire proton – antiproton étant pratiquement 200 fois plus grande que celle d'une bombe à hydrogène. Mais fabriquer une bombe à antimatière reste du domaine de la fiction : il faut disposer d'une quantité suffisante d'antimatière, or on ne peut actuellement stocker que des quantités infimes, de l'ordre des 10
-12g, qui ne peuvent produire que quelque centaines de joules. L'explosion ne sera pas aussi violente qu'on pourrait le penser car l'annihilation produira un flux de rayonnement dont la pression empêchera de maintenir un contact ferme entre la matière et l'antimatière, nécessaire pour le déroulement de la réaction
(27).
En revanche, on pourrait rêver de propulser un jour des fusées. L'énergie produite par l'annihilation matière-antimatière chauffera à 3 000 K un radiateur, le combustible injecté dans le radiateur sortira à grande vitesse à travers les tuyères et propulsera la fusée avec un rendement supérieur aux moteurs de fusée classiques à base de combustion hydrogène - oxygène.

Figure 12 : Fusée à propulsion d'antimatière. À gauche, le schéma du moteur. L'antimatière, injectée dans la chambre de combustion, s'annihile avec une partie de l'hydrogène présent et produit une grande quantité de chaleur. L'hydrogène restant est éjecté à haute vitesse et assure la propulsion. Une petite fraction de l'hydrogène est canalisée par le conduit de déviation, passé par une turbine qui entraîne une pompe nécessaire à la circulation de l'hydrogène. Ce dernier est injecté dans l'enveloppe du moteur où il est réchauffé, arrive dans la chambre d'entrée, passe dans la matrice d'atténuation et arrive dans la chambre de combustion. (©Positronics Research, LLC) À droite, vue d'artiste d'un fusée à propulsion d'antimatière. (©NASA)
Conclusion
Dirac reste, après Albert Einstein, le plus brillant physicien théoricien du XXe siècle, doué d'une capacité d'abstraction et de concentration exceptionnelle, capable de visualiser géométriquement les concepts le plus compliqués, guidé par des principes d'esthétique mathématique.
Ses contributions à la physique sont fondamentales : l'équivalence entre la mécanique ondulatoire de De Broglie et la mécanique matricielle d’Heisenberg, l'équation relativiste de l'électron et la prédiction de l'antimatière, le monopole magnétique et la quantification de la charge électrique, les bases de l'électrodynamique quantique, la formulation de la mécanique quantique par l'intégrale de chemin, la statistique quantique des fermions. Il introduit en mathématiques la fonction delta, point de départ de la théorie des distributions qui allait être formulée quelques décennies plus tard. Ses principaux résultats se trouvent étalées sur une durée de huit ans.
Introverti et taciturne, Dirac avait un certain comportement rigide, centré sur lui-même, il vivait probablement avec une légère forme d'autisme, à caractère exceptionnel, qui l'a doté de capacités intellectuelles hors du commun.
Dirac a reçu le prix Nobel en physique très jeune, à l'âge de 31 ans.
1. Équation de Schrödinger
Si en mécanique classique l'état d'une particule est décrit par les coordonnées de la position et de la vitesse, en mécanique quantique il est décrit par une fonction d'onde dont le module au carré donne la densité de probabilité de présence de la particule à un endroit donné ; la notion de trajectoire n'a plus de sens. La position, la quantité de mouvement et certaines autres grandeurs physiques (énergie, moment cinétique, etc) ne sont plus de simples nombres mais des opérateurs (objet mathématique qui agit sur une fonction d'onde pour la transformer en un autre fonction d'onde)
(28).
L'opérateur énergie est ainsi décrit par une dérivée par rapport au temps, l'opérateur quantité de mouvement par une dérivée par rapport à l'espace (29) :

La relation classique entre énergie et quantité de mouvement pour une particule libre :

se traduit en langage d'opérateurs (30) :

c'est-à-dire l'équation de Schrödinger. Les solutions sont des ondes planes de type :

qui, introduites dans l'équation, conduisent à la relation de dispersion entre l'énergie et la quantité de mouvement :

2. Densité de probabilité et courant de probabilité
Multiplions l'équation de Schrödinger

par la fonction d'onde conjuguée

(obtenue en prenant le conjugué complexe de la fonction d'onde

), et multiplions la conjuguée complexe de l’équation de Schrödinger,

par la fonction d'onde

, et faisons la différence. On obtient :

que l'on interprète comme une équation de continuité de la densité de probabilité

avec
la densité de probabilité et
la densité de courant de probabilité.
3. L'équation de Klein-Gordon
En substituant l'expression des opérateurs énergie et quantité de mouvement (donnés en (1) ci-dessus) dans la relation relativiste entre l'énergie et la quantité de mouvement pour une particule libre
(31), qui est

on obtient l'équation de Klein-Gordon :

Les solutions sont des ondes planes de type
, dont la relation de dispersion est bien
Cette dernière équation admet des solutions positives
mais aussi des solutions négatives
. L'interprétation des solutions d'énergie négative fut une des difficultés à laquelle les physiciens des années 1925-1930 furent confrontés. Par les mêmes techniques que celles utilisées dans les cas de l'équation de Schrödinger (multiplication avec des quantités conjuguées), on peut déduire une équation de continuité de la densité de probabilité où :

et

Dans les cas de solutions d'ondes planes, la densité de probabilité est proportionnelle à l'énergie
. Les solutions d'énergie négative conduisent alors à des densités de probabilité négative. Mais une théorie avec des probabilités négatives semble absurde. Ceci représente une deuxième difficulté, elle gênait Dirac bien plus que la première – celle de l’énergie négative.
4. L'équation de Dirac
La source de densité de probabilités négatives vient du fait que l'équation de Klein-Gordon contient des dérivées secondes par rapport au temps. Alors pourquoi ne pas chercher une équation avec des dérivées premières par rapport au temps, comme c'est le cas de l'équation de Schrödinger ? Pour respecter l'invariance relativiste, l'espace et le temps doivent également intervenir avec des dérivées premières.
Dirac essaya de postuler une équation du type :

avec
et β des coefficients a priori non déterminés. Elle peut être vue comme une "racine carrée" de l'équation de Klein-Gordon.
@@@@@@@
Appliquons alors deux fois l'équation de Dirac, on devrait retrouver l'équation de Klein-Gordon et respecter ainsi la relation de dispersion relativiste :

ce qui donne les contraintes :






et 
@@@@@@@
Ces contraintes impliquent des relations d'anti-commutation qui ne peuvent pas être satisfaites par des nombres simples mais par des matrices quadratiques hermitiennes. En d'autres termes, une équation linéaire relativiste implique une fonction d'onde à plusieurs composantes.
La première relation montre que les matrices ne peuvent avoir que les valeurs propres 1 et –1, en ajoutant la deuxième on peut montrer qu'elles sont de trace nulle, donc leur nombre de lignes et colonnes doit être un nombre pair. Il n'existe que trois matrices hermitienne 2x2 indépendantes qui satisfont de telles relations, les matrices de Pauli :
,
,
Il faut alors chercher des matrices hermitiennes 4 x 4 (qu'on peut représenter par blocs), par exemple (32) :
,
,
, 
@@@@@@@
Les solutions des ondes planes sont alors de la forme :

où φ et χ sont des objets mathématiques ayant chacun 2 composantes, ce qui conduit à l'équation :

où, en écrivant par composantes :


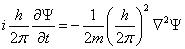
Au cas où la particule est au repos
, l'équation admet les 4 solutions :

Les deux premières correspondent à des particules d'énergie positive, égale à l'énergie de repos (E = mc² avec c =1) l'une de spin up (
), l'autre de spin down (
). Les deux autres correspondent à des particules d'énergie négative égale à – l'énergie de repos (E = - mc²) et sont interprétées comme étant leurs antiparticules, l'une de spin down, l'autre de spin up.
@@@@@@@
Par des multiplications avec des quantités hermitiennes conjuguées, on peut déduire une équation de continuité de la densité de probabilité où
et
. La densité de probabilité ρ est alors positive : l'équation de Dirac résout le problème des densités de probabilités négatives que présentait l'équation de Klein-Gordon.
5. L'équation de Schrödinger, cas limite de l'équation de Dirac
Les solutions stationnaires de l'équation de Dirac pour une particule libre sont de la forme :

ou, en l'écrivant par composantes :
, 
Pour des petites vitesses E≈m la composante χ est plus petite que φ. Il est alors possible de la traiter en perturbation, à partir de la première équation on obtient :

et en le remplaçant dans la deuxième :

Dans les cas des petites vitesses le dénominateur peut être approximé par 2m :

En utilisant la relation mathématique :

Le dernier terme étant nul, on obtient :

qui est l'équation de Schrödinger pour une particule libre. Le terme de gauche représente la différence entre l'énergie totale et l'énergie de repos, le terme de droite l'énergie cinétique (où la quantité de mouvement intervient de manière quadratique).
Juin 2011

(1) P. A. M. Dirac in History of Twentieth Century Physics, sous la direction de C. Weiner, Academic Press, New York 1977.
(2) Cette équation est restée sous le nom d'équation de Klein-Gordon et décrit des particules scalaires (de spin 0) comme les mésons. En 1934, en remplaçant la densité de probabilités avec la densité de charge électrique, Wolfgang Pauli et Victor Weisskopf ont contourné le problème des probabilités négatives.
(3) Voir l'appendice mathématique ci-dessous.
(4) P. A. M. Dirac, Proceedings of the Royal Society of London A, 117, 610 (1928) et 118, 351 (1928).
(5) Interview de W. Heisenberg par Thomas Kuhn, 12 juillet 1963, Bibliothèque Niels Bohr, American Institute of Physics, New York.
(6) P. A. M. Dirac, "A Theory of Electrons and Protons", Proceedings of the Royal Society of London A, 126, 360 (1930) – publication commentée par le présent article BibNum.
(7) Dirac appelle "duplexity" le fait que dans un atome, le nombre d'états quantiques observés est le double de celui calculé par l'équation de Schrödinger. Ce paradoxe apparent est résolu par l'introduction du spin : un état quantique peut alors être occupé par deux électrons de spins opposés.
(8) A. Pais, M. Jacob, D. Olive, M. F. Atiyah, Paul Dirac, the Man and his Work, Cambridge University Press, 1998.
(9) H. Weyl, Zeitschrift für Physik, 56, 332 (1929).
(10) La situation est analogue à celle de la construction des couches atomiques : le principe de Pauli empêche les électrons de tomber tous dans l'état d'énergie le plus bas, ce qui garantie la stabilité de l'édifice atomique.
(11) La situation est similaire à celle des semi-conducteurs : la dynamique d'un trou (absence d'un électron dans la bande de valence), en particulier la valeur de sa masse, est déterminée par les interactions avec les électrons de valence.
(12) J. R. Oppenheimer, Physical Review, 35, 562 (1930).
(13) I. Tamm, Zeitschrift für Physik, 62, 545 (1930).
(14) H. Weyl, The Theory of Groups and Quantum Mechanics, Dover, New York, 1950.
(15) G. Gamow, Thirty Years that shook Physics, Dover, New York, 1985.
(16) P. A. M. Dirac, Proceedings of the Royal Society of London A, 133, 60 (1931).
(17) P. A. M. Dirac, The 1st H.R. Crane Lecture, University of Michigan, 17 avril 1978.
(18) C. D. Anderson, Science, 76, 238 (1932).
(19) P. Blackett and G. Occhialini, Proceedings of the Royal Society of London A, 139, 699 (1933).
(20) C. D. Anderson, Physical Review, 43, 491 (1933).
(21) I. Curie, F. Joliot, discours Nobel, 12 décembre 1935. On peut consulter l’analyse BibNum de ce texte par Pierre Radvanyi (avril 2009).
(22) O. Chamberlain, E. Segrè, C. Wiegand et T. Ypsilantis, Physical Review 100, 947 (1955).
(23) B. Cork, G. R. Lambertson, O. Piccioni et W. A. Wenzel, Physical Review 104, 1193 (1956).
(24) En interagissant avec le champ électrique du noyau lourd, l'antiproton (chargé négativement) émet des photons (Bremstrahlung) :
. Ces derniers peuvent se matérialiser en paires électron-positron.
. Un des positrons peut être piégé par l'antiproton, les deux forment alors un atome d'anti-hydrogène.
(25) G. Baur et al., Physics Letters B 368 (3), 251, (1996).
(26) P. A. M. Dirac, Proceedings of the Royal Society of London A, 114, 243 (1927).
(27) L'expérience LEAR du CERN a inspiré des écrivains de science fiction, en particulier Dan Brown, auteur du roman policier Angels & Demons (2000), où le Vatican est menacé par une "bombe à antimatière" volée au CERN.
(28) Le résultat d'une mesure (par exemple de l'énergie) est donné par une des valeurs propres de l'opérateur (énergie). Il s'agit cependant d'une mesure statistique, la valeur propre en cause est obtenue avec une probabilité proportionnelle au module au carré de la projection de la fonction d'onde sur le vecteur propre correspondant à cette valeur propre.
(29) On prendra comme unité de mesure h/2π = 1, ce qui simplifie considérablement la forme des expressions.
(30) Il ne s'agit pas d'une démonstration mais plutôt d'une indication permettant de "deviner" l'équation de Schrödinger, qui est en fait un postulat.
(31) On choisit un système de mesure où, en plus de h/2π = 1, la vitesse de la lumière c =1.
(32) Dans l'article original, Dirac utilise les notations :
,
, c'est-à-dire des produits tensoriels de matrices de Pauli 2x2. Dans cet appendice, on préfère utiliser les notations usuelles.