« Recherches expérimentales sur le mouvement des liquides dansles tubes de très petits diamètre», Comptes rendus des séances de l’Académie des Sciences, 1840, t. 11, p. 1041-1048.
1840
Poiseuille établit sa fameuse loi, selon laquelle le débit dans de fins tubes capillaires est en puissance quatrième du diamètre du tube.
Jean-Louis Marie Poiseuille (1797, Paris-1869, Paris), médecin physiologiste français, entre en 1815 à l'École polytechnique, qui ferme provisoirement en avril 1816 pour des raisons politiques liées à la Restauration. Ne reprenant pas ses études à Polytechnique, il décide de se consacrer à l'étude de la microcirculation sanguine. En 1840, il présente à l'Académie des sciences un mémoire intitulé « Recherches expérimentales sur le mouvement des liquides, dans les tubes de très petits diamètres », qui va apporter plusieurs contributions significatives au domaine de la mécanique des fluides ainsi qu’à son application en physiologie.
Suite à une formation au département de physique fondamentale de l'ENS Cachan, Pierre-Yves Gires a mené des recherches sur la dynamique des microcapsules, gouttes submillimétriques entourées d'une membrane. De 2009 à 2012, il étudie dans le cadre d'un doctorat l'influence des interactions hydrodynamiques sur l'écoulement de suspensions de ces micro-objets, au laboratoire interdisciplaine de physique de l'Université Grenoble Alpes. Ensuite, de 2012 à 2014, il s'intéresse à la caractérisation des propriétés mécaniques membranaires par une technique microfluidique, au laboratoire de biomécanique et de bioingénierie de Compiègne. Enfin, depuis 2015, il approfondit la manipulation par ondes acoustiques, aussi bien de capsules naturelles (i.e. globules rouges) qu'artificielles (i.e. vecteurs de médicaments), au CEA-Grenoble.

Jean-Louis Marie Poiseuille (1797, Paris-1869, Paris), médecin physiologiste français, entre en 1815 à l'École polytechnique, qui ferme provisoirement en avril 1816 pour des raisons politiques liées à la Restauration. Ne reprenant pas ses études à Polytechnique, il décide de se consacrer à l'étude de la microcirculation sanguine. En 1840, il présente à l'Académie des sciences un mémoire intitulé « Recherches expérimentales sur le mouvement des liquides, dans les tubes de très petits diamètres », qui va apporter plusieurs contributions significatives au domaine de la mécanique des fluides ainsi qu’à son application en physiologie.
Figure 1 : Photographie de Jean-Léonard-Marie Poiseuille (1797-1869).
Le contexte historique et scientifique
Dans le domaine de la physiologie, la compréhension du système cardiovasculaire a connu une importante avancée au xviie siècle, notamment grâce aux travaux du médecin anglais William Harvey (1578-1657), qui établit sur des bases solides l'existence de la grande (resp. petite) circulation, entre le cœur et les poumons pour les échanges avec l'air (resp. entre le cœur et l'ensemble des organes pour les échanges internes).
Parallèlement, l'utilisation du microscope permet au médecin italien Marcello Malpighi (1628-1694) de montrer que le sang passe des artères aux veines via de fins vaisseaux d'un diamètre de l'ordre de 10 microns ; puis aux savants néerlandais Jan Swammerdam (1637-1680) et Antoni van Leeuwenhoek (1632-1723) de découvrir l'existence des globules rouges, qui occupent en moyenne 45% en volume d'un échantillon de sang au repos.
Dans le domaine de la physique, au xviiie siècle, le savant suisse Euler établit l'équation aux dérivées partielles décrivant la dynamique d'un fluide non visqueux, la notion de viscosité ayant ensuite été ajoutée par l'ingénieur français Henri Navier[1]. La condition aux limites appropriée pour décrire l'écoulement d'un liquide au contact d'une paroi reste du domaine de l’inconnu.
Les expériences minutieuses menées par Poiseuille vont permettre d'une part une meilleure compréhension de l'écoulement du sang dans la microcirculation, et d’autre part fournir un argument fort en faveur de la condition de non-glissement d'un liquide sur une paroi.
Le dispositif utilisé
Le dispositif développé par Poiseuille permet de mesurer le débit de liquides dans des capillaires de diamètre submillimétrique, dans des conditions précisément contrôlées, avec notamment une différence de pression et une température fixées. Le capillaire utilisé est en verre, correspondant au trait fin en D sur la fig.2a. La différence de pression est imposée grâce à une pompe, dont la connexion est schématisée sur la fig.2b, la pompe étant reliée au raccord 4 voies L par le tube supérieur. La température est contrôlée en immergeant le capillaire dans un cylindre de verre rempli d'eau distillée à la température souhaitée (cf. région CDFE sur la fig.2b), lui-même plongé dans un baquet à la même température (cf. GHIK fig.2b). La pression en entrée est mesurée via un manomètre (cf. tube à droite de la connectique L sur la fig.2b, et le débit par le volume écoulé pendant une durée chronométrée.
a) b)
Figure 2 : Dispositif utilisé ; a) Capillaire immergé : à l'ampoule en verre soufflé CEB sont soudés deux tubes, marqués en C et E à la lime. Le tube inférieur se termine par le renflement sphéroïde G, auquel est soudé le capillaire étudié ; b) Positionnement du capillaire dans le dispositif, ici noté d. On aperçoit notamment le microscope chercheur en o[2].
L'obtention de la loi de puissance correcte reliant le débit et le rayon de la conduite – soit une dépendance en la puissance quatrième – a été possible grâce au soin particulier apporté à la précision des mesures, notamment au niveau de la forme des capillaires (section approximativement circulaire et constante), la mesure minutieuse du volume écoulé grâce à deux marques sur les capillaires en C et E (fig.2a), observées au « microscope chercheur », le filtrage des poussières au fond de l'ampoule M (fig.2b) – le liquide s'écoulant par la soudure latérale b’’–, la prise en compte des différents effets influant significativement sur la pression en entrée du capillaire (notamment l'évolution de la dépression liée au ménisque se déplaçant successivement du capillaire C à l'ampoule O, puis au capillaire E (fig. 2a), et enfin la régulation de la pression via un réservoir en cuivre (cf. tube arrivant par le bas en L sur la fig.2b). On peut aussi noter la régularité de l'écoulement obtenue par une immersion du capillaire dans le cylindre CDFE, évitant ainsi les irrégularités induites par l'écoulement goutte à goutte obtenu pour un faible débit dans le cas d'une sortie à l'air.
Dépendance du débit avec le diamètre du capillaire
Après avoir montré que le débit est proportionnel à la différence de pression entre l'entrée et la sortie du tube, puis inversement proportionnel à la longueur du capillaire, Poiseuille utilise les lois obtenues pour comparer les volumes qui se seraient écoulés pour une longueur de tube constante de 25 mm, avec une surpression en entrée du tube de 775 mm de mercure, pendant 500 s, à une température de 10°C : ses résultats sont reproduits sur la fig.3a.
En utilisant notamment ces observations, Poiseuille en déduit, en ayant noté Q le débit volumique et P la différence de pression entre les extrémités amont et aval du capillaire :
En joignant ce résultat à ceux obtenus précédemment, il viendra pour l'équation du mouvement des liquides dans nos petits tubes, D représentant le diamètre,
étant un coefficient constant pour la même température et la même intensité de la pesanteur.
Il compare ensuite la loi de puissance obtenue aux résultats dont il a connaissance : il s'agit des mesures de P.-S. Girard, et d'une modélisation de Navier. La loi d'échelle est différente, celles de la littérature correspondant à un débit proportionnel au cube du diamètre. Poiseuille indique que cela pourrait être dû aux longueurs des tubes utilisés qui étaient plus importantes, et propose de mener des recherches pour déterminer un critère de transition entre ces deux lois.b

Figure 3 : Influence du diamètre du capillaire sur le volume d'eau écoulé. a) Mesures de Poiseuille. b) Tracé correspondant en échelle logarithmique : les points s’alignent sur une droite de coefficient directeur 4, faisant apparaître l’exposant de la loi de puissance.
A posteriori, la différence n'est pas liée à un régime différent, mais à des conditions aux bords différentes considérées par Navier[3], ainsi qu’à des incertitudes sous-estimées dans le cas de Girard, notamment au niveau des diamètres des tubes utilisés[4].
Un an auparavant, et indépendamment, le physicien allemand Hagen a réalisé des expériences similaires, obtenant aussi une dépendance du même type.
Cette loi de puissance, dite loi de Poiseuille ou de Hagen-Poiseuille, sera notamment dérivée en 1860 par Franz Neumann (1798-1895)[5]. Une présentation actuelle d'une démarche possible est présentée dans l'encadré ci-dessous.

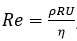
Cette relation suppose un écoulement parallèle à l'axe de la conduite : des études ultérieures menées notamment par le physicien irlandais Osborne Reynolds (1842-1912)[6] ont montré que l'écoulement considéré ici n'est stable que jusqu'à un certain débit, caractérisé par un nombre adimensionnel, dit nombre de Reynolds et défini par
, où (ρ,η) sont la masse volumique et la viscosité dynamique du fluide, et U la vitesse moyenne de l'écoulement. L’écoulement reste laminaire tant que Re est inférieur à une valeur de l'ordre de quelques milliers[7].
Application à la régulation du débit sanguin
Poiseuille conclut de la relation obtenue que la régulation de la circulation sanguine dans les différents organes devrait pouvoir être régulée de manière particulièrement efficace en modulant le diamètre des capillaires sanguins :
Les dimensions des tubes capillaires de l'économie animale, étant telles que les lois du mouvement des liquides que nous venons d'établir, s'y appliquent parfaitement, il résulte qu'en considérant les systèmes capillaires de deux organes, si les vaisseaux capillaires de l'un sont, par exemple, d'un diamètre 2 fois plus grand que celui des capillaires de l'autre, il passera dans le premier, toutes choses égales d'ailleurs, 16 fois plus de liquide que dans le second.
Des travaux postérieurs ont de plus montré que le débit de certains vaisseaux sanguins peut être modulé par l'intermédiaire de cellules musculaires (muscles lisses) présentes dans leurs parois.
Les mesures présentées ont été réalisées dans le cadre de liquides homogènes à l'échelle du diamètre des capillaires. Or ce n'est pas le cas du sang, les globules rouges au repos ayant une forme de disque biconcave d'un diamètre de 8 microns : ce caractère corpusculaire donne lieu à une évolution particulière présentée dans l'encadré ci-dessous.

On peut noter aussi l'effet d'une couche moléculaire de l'ordre de quelques centaines de nanomètres, appelée le glycocalyx, présente in vivo, qui augmente également la valeur de k. Malgré l’excédent de travail cardiaque induit, une augmentation de k se traduisant par une fluidité d’ensemble moindre, cette couche présente notamment l’intérêt d’isoler des contraintes de cisaillement une partie des membranes cellulaires des parois vasculaires, les efforts étant concentrés sur des régions adaptées, telle une forêt transmettant au sol, via ses racines, les efforts d’un vent conséquent, tout en abritant un éventuel promeneur resté aux aguets. L'étude de cette couche, notamment impliquée dans l'apparition de maladies cardiovasculaires, fait l'objet de recherches actuelles[10].
(janvier 2017)
[1]. La dérivation des équations pour un fluide parfait est introduite dans Leonhard Euler, « Principes généraux du mouvement des fluides », Mémoires de l'Académie des sciences de Berlin, (11) 74-315 (1757), en ligne ; pour un fluide visqueux par Henri Navier dans « Mémoire sur les lois du mouvement des fluides », Mémoire de l'Académie royales des sciences de l'Institut de France, VI, 389-440 (1823), en ligne.
[2]. Les deux figures sont extraites d’une version plus exhaustive de l’article ici analysé, publié 6 ans plus tard par Poiseuille : « Recherches expérimentales sur le mouvement des liquides dans les tubes de très-petits diamètres », Mémoires présentés par divers savants à l'Académie Royale des Sciences de l'Institut de France, IX, 433-544 (1846), p. 541, en ligne.
[3]. Dans son « Mémoire sur les lois du mouvement des fluides », présenté en 1822, Navier considère pour condition aux bords
, où M est un point de la paroi, u la composante tangente de la vitesse, r la distance normale à la paroi, (E,E) étant deux constantes physiques. Parmi les cas pratiques qu'il considère, il ne présente pas celui où
, dont la limite correspond à l'hypothèse de non-glissement. (Mémoires de l'Académie des sciences de l'Institut de France, (6) 389-440 (1823), en ligne).
[4] Cf. Olivier Darrigol, “Between hydrodynamics and elasticity theory: the first five births of the Navier-Stokes equation”, Arch. Hist. Exact Sci. (56) 95–150 (2002) (JSTOR).
[5]. Cité par Olivier Darrigol, ibid.
[6]. Osborne Reynolds, “On the dynamical theory of incompressible viscous fluids and the determination of the criterion”, Proc. R. Soc. Lond. (56) 40-45 (1894), en ligne : introduction du nombre dit de Reynolds pour décrire la stabilité d'un écoulement
[7]. Cette transition d'un écoulement laminaire à turbulent est liée à la non-linéarité de l’équation de Navier-Stokes.
[8]. Enfin, en poursuivant encore le confinement, si le diamètre devient inférieur à (environ) celui d'un globule rouge, il finit par y avoir une augmentation de k avec une réduction de la section du canal, par un effet de type bouchon.
[9]. Poiseuille, « Recherches sur les causes du mouvement du sang dans les vaisseaux capillaires », Mémoires des savants étrangers (tome VII) 44-45 (publié en 1839), en ligne.
[10]. Des détails peuvent par exemple être trouvés dans la publication Sheldon Weinbaum, John M. Tarbell, Edward R. Damiano Weinbaum, « The structure and function of the endothelial glycocalyx layer », Annu. Rev. Biomed. Eng. (9) 121–167 (2007).
ARTICLES DE POISEUILLE
![]() |
|
AUTRES ARTICLES
|
|
|
![]() |
|
OUVRAGES (EN FRANÇAIS)
|
|
|
![]() |
|
![]() |
|
![]() |
|
POUR APPROFONDIR, OUVRAGE ET ARTICLE (EN ANGLAIS)
![]() |
|
![]() |
|

